Теория игр: матричная игра и смешанные стратегии
Задача: Матричная игра с равновесием Нэша и ЗЛП
Практическое задание №4. Матричная игра
1. Исследование игры на равновесие Нэша в чистых стратегиях
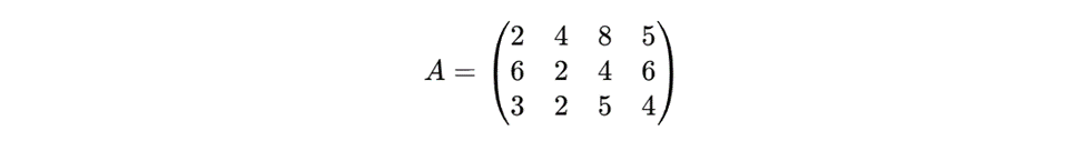
Матрица выигрышей первого игрока (строкового):
1.1. Проверка на наличие седловой точки
2.1. ЗЛП для первого игрока (строкового)
2.2. ЗЛП для второго игрока (столбцового) — дуальная постановка
3. Решение игры в смешанных стратегиях
3.1. Аналитическое решение
3.1.1. Стратегия первого игрока
3.1.2. Стратегия второго игрока
3.2. Пример решения через Python (linprog / симплекс)Показать/скрыть дополнительное описание
1. Исследование игры на равновесие Нэша в чистых стратегиях
Матрица выигрышей первого игрока (строкового):
1.1. Проверка на наличие седловой точки 2.1. ЗЛП для первого игрока (строкового)
2.2. ЗЛП для второго игрока (столбцового) — дуальная постановка
3. Решение игры в смешанных стратегиях
3.1. Аналитическое решение
3.1.1. Стратегия первого игрока
3.1.2. Стратегия второго игрока
3.2. Пример решения через Python (linprog / симплекс)Показать/скрыть дополнительное описание
Материал посвящён решению матричной антагонистической игры с проверкой седловой точки, построением прямой и дуальной ЗЛП и поиском оптимальных смешанных стратегий. В работе разобрана конкретная матрица выигрышей 3×4, получена цена игры и приведён пример вычисления в Python через scipy.linprog. Подходит студентам, которым нужен готовый образец по теории игр и математическому программированию..
Характеристики решённой задачи
Предмет
Учебное заведение
Семестр
Просмотров
2
Размер
170,38 Kb
Список файлов
практическая.docx
🎓 Никольский - Помощь студентам 📚 Любые виды работ: тесты, сессии под ключ, практики, курсовые и дипломные с гарантией результата ✅ Все услуги под ключ ✅ Знаем все тонкости именно вашего ВУЗа ✅ Сдадим или вернем деньги
Комментарии
Нет комментариев
Стань первым, кто что-нибудь напишет!
МТИ
nikolskypomosh















