Для студентов МГТУ им. Н.Э.Баумана по предмету Теория функций комплексного переменного (ТФКП)Ряды ФурьеРяды Фурье
4,9952269
2024-06-112024-06-11СтудИзба
ДЗ №1 "Тригонометрические ряды Фурье" для СМ и РК4
ДЗ 3: Ряды Фурье вариант 12
Описание
"Ряды Фурье" для СМ и РК4
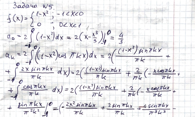
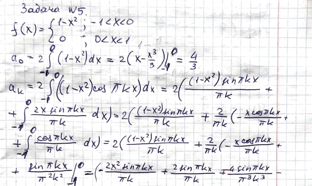
Внимание! решение только задачи №5 и задачи №6 для 7 варианта.

Демо-часть решения:


ДЗ №1 \"Тригонометрические ряды Фурье\" для СМ и РК4.
Характеристики домашнего задания
Учебное заведение
Семестр
Номер задания
Вариант
Просмотров
33
Качество
Скан рукописных листов
Размер
801,54 Kb
Преподаватели
Список файлов
12 вариант.pdf

Vladelo