Для студентов МГТУ им. Н.Э.Баумана по предмету Теория функций комплексного переменного (ТФКП)Операционное исчислениеОперационное исчисление
5,0054
2023-05-282025-02-11СтудИзба
Вариант 2 - ДЗ №2 "ОИ" - 5 задач
ДЗ 2: Операционное исчисление вариант 2
-43%
Описание
Типовой расчет по ТФКП №2 "Операционное исчисление", 5 задач, зачтен на максимальный балл
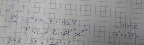
Задача 1:
Задача 2:
Задача 3:
Задача 4:
Задача 5:
Показать/скрыть дополнительное описание
Задача 1:





Типовой расчет по ТФКП МГТУ.
Характеристики домашнего задания
Учебное заведение
Семестр
Номер задания
Вариант
Теги
Просмотров
49
Качество
Фото рукописных листов
Размер
1,9 Mb
Список файлов
Вариант 2 ОИ 388.pdf

Спасибо за покупку! Я буду очень рад, если поставишь справедливую оценку купленному файлу :3 Ищи больше работ в моём профиле, там много нужного тебе!