Для студентов МГТУ им. Н.Э.Баумана по предмету Теория функций комплексного переменного (ТФКП)Ряды ФурьеРяды Фурье
5,0053
2022-03-012022-03-01СтудИзба
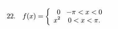
ДЗ 3: Ряды Фурье вариант 22
Описание
Ряды Фурье проверенное решение.Файлы условия, демо
Характеристики домашнего задания
Учебное заведение
Семестр
Номер задания
Вариант
Просмотров
51
Размер
5,4 Mb
Список файлов
тфкп1.docx
Комментарии
Нет комментариев
Стань первым, кто что-нибудь напишет!
МГТУ им. Н.Э.Баумана



















