Для студентов МГТУ им. Н.Э.Баумана по предмету Теория функций комплексного переменного (ТФКП)Ряды ФурьеРяды Фурье
4,845199
2021-06-042021-06-04СтудИзба
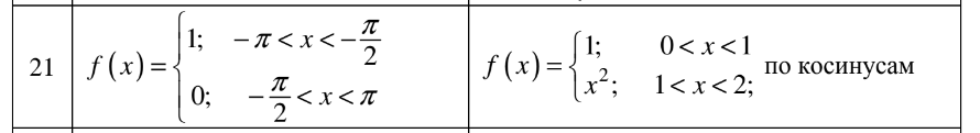
ДЗ 3: Ряды Фурье вариант 21
Описание
Характеристики домашнего задания
Учебное заведение
Семестр
Номер задания
Вариант
Просмотров
35
Качество
Фото рукописных листов
Размер
1,85 Mb
Список файлов
фурье 21.pdf
elfly
Комментарии
Нет комментариев
Стань первым, кто что-нибудь напишет!
МГТУ им. Н.Э.Баумана
elf ly


















