Для студентов МГТУ им. Н.Э.Баумана по предмету Теория функций комплексного переменного (ТФКП)Операционное исчислениеОперационное исчисление
5,0051
2021-06-042021-06-04СтудИзба
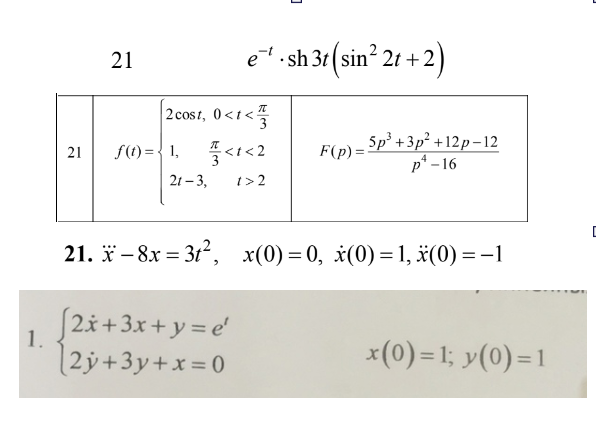
ДЗ 2: Операционное исчисление вариант 21
Описание
Характеристики домашнего задания
Учебное заведение
Семестр
Номер задания
Вариант
Теги
Просмотров
64
Качество
Фото рукописных листов
Размер
874,28 Kb
Список файлов
oi_21_variant.pdf
elfly
МГТУ им. Н.Э.Баумана
elf ly


















