Для студентов МГТУ им. Н.Э.Баумана по предмету Теория функций комплексного переменного (ТФКП)Операционное исчислениеОперационное исчисление
4,745191
2020-09-102020-09-10СтудИзба
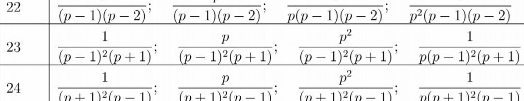
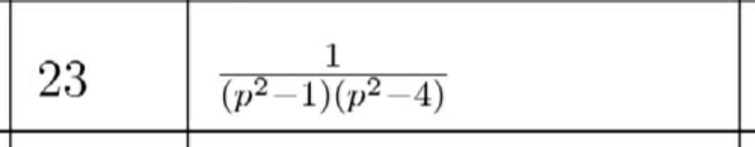
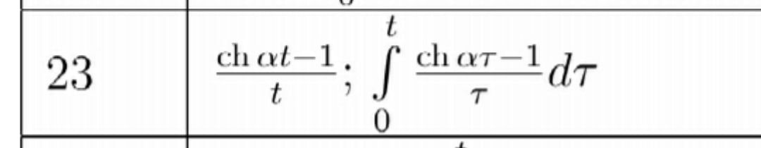
ДЗ 2: Операционное исчисление вариант 23
Описание
Зачтенные задачи по ОИ для СМ 2020г. Преподаватель Гришина Г. В.
Характеристики домашнего задания
Учебное заведение
Семестр
Номер задания
Вариант
Теги
Просмотров
224
Качество
Скан рукописных листов
Размер
2,14 Mb
Список файлов
ои см 23 вариант 1-4 задачи.pdf
Комментарии
Отзыв
хорошо
МГТУ им. Н.Э.Баумана
discovery



















