Для студентов МГТУ им. Н.Э.Баумана по предмету Теория функций комплексного переменного (ТФКП)Теория функций комплексного переменногоТеория функций комплексного переменного
5,00511
2020-05-282020-05-28СтудИзба
ДЗ 1: Теория функций комплексного переменного вариант 23
Описание
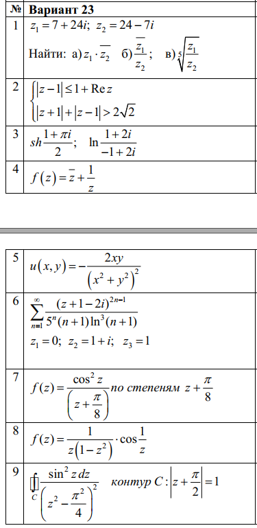
Условие типовика можете проверить на фото ниже. Выполнены все задачи, кроме 7 ![]()

Характеристики домашнего задания
Учебное заведение
Семестр
Номер задания
Вариант
Теги
Просмотров
153
Размер
2,5 Mb
Список файлов
200520081956.jpg
200520081957.jpg
200520081958.jpg
200520081959.jpg
200520081960.jpg
200520081961.jpg
Комментарии
Нет комментариев
Стань первым, кто что-нибудь напишет!
МГТУ им. Н.Э.Баумана



















