Для студентов МГТУ им. Н.Э.Баумана по предмету Теория функций комплексного переменного (ТФКП)Операционное исчислениеОперационное исчисление
5,0051
2020-06-112020-06-11СтудИзба
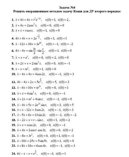
ДЗ 2: Операционное исчисление вариант 15
Описание
Зачтено преподавателем
![]()

Характеристики домашнего задания
Учебное заведение
Семестр
Номер задания
Вариант
Теги
Просмотров
114
Размер
21,03 Mb
Список файлов
Операционное исчисление.pdf
Комментарии
Нет комментариев
Стань первым, кто что-нибудь напишет!
МГТУ им. Н.Э.Баумана


















