Для студентов МГТУ им. Н.Э.Баумана по предмету Теория функций комплексного переменного (ТФКП)Операционное исчислениеОперационное исчисление
4,685181
2020-06-042020-06-04СтудИзба
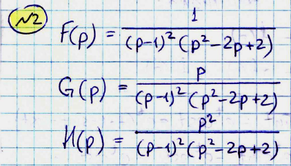
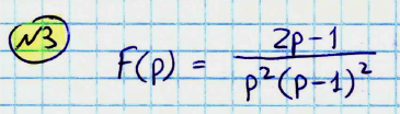
ДЗ 2: Операционное исчисление вариант 16
Описание
Оформленное и принятое ДЗ№3 (часть 1) по ОИ. Номера 1-4.
![]()





Характеристики домашнего задания
Учебное заведение
Семестр
Номер задания
Вариант
Теги
Просмотров
173
Размер
4,62 Mb
Список файлов
ТФКПиОИ_ДЗ №3 (Часть 2).pdf
Комментарии

Отзыв
Не зачли ни одну задачу, могу подтвердить.