Для студентов МГТУ им. Н.Э.Баумана по предмету Теория функций комплексного переменного (ТФКП)Теория функций комплексного переменногоТеория функций комплексного переменного
5,00525
2020-04-062020-06-14СтудИзба
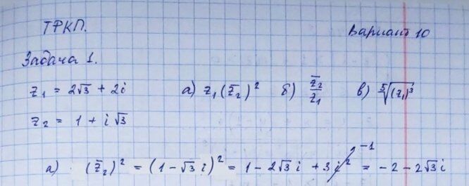
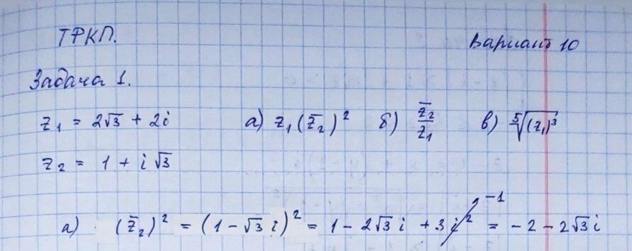
ДЗ 1: Теория функций комплексного переменного вариант 10
Описание
Характеристики домашнего задания
Учебное заведение
Семестр
Номер задания
Вариант
Теги
Просмотров
450
Качество
Фото рукописных листов
Размер
7,22 Mb
Список файлов
9_zadach_tfkp.pdf
Комментарии
Нет комментариев
Стань первым, кто что-нибудь напишет!
МГТУ им. Н.Э.Баумана


















