Главная » Учебные материалы » Теория электрических цепей (ТЭЦ) » Курсовые работы » ТУСУР » Схемные функции и частотные характеристики линейных электрических цепей

Курсовая работа: Схемные функции и частотные характеристики линейных электрических цепей

Новинка

Описание

Цель курсовой работы – овладеть способами нахождения частотных характеристик цепи.
Одновременно в процессе выполнения курсовой работы решаются следующие задачи: формирование навыков обоснованных предположений о характере частотных характеристик цепи непосредственно по ее схеме, формирование навыков получения и анализа операторных функций цепи и овладение для схем с зависимыми источниками методом узловых потенциалов в матричной форме как одним из базовых методов автоматизированного машинного анализа электрических цепей в частотной области в стационарном режиме.

Задание: 1) Получить и исследовать входные и передаточные операторные и комплексные функции нагрузки, транзистора и объединенного устройства.
2) Рассчитать частотные характеристики (ЧХ) по выражениям АЧХ и ФЧХ и с использованием автоматизированных методов анализа цепей.
1. Содержание расчетной части пояснительной записки:
1.1. Исследование нагрузки:
-предполагаемый характер на основе схемы АЧХ и ФЧХ входной и/или передаточной функций;
-вывод операторных выражений входной и/или передаточной функций и их проверка по размерности, соответствия модели на крайних частотах диапазона, порядку полиномов и условиям физической реализуемости;
-нормировка операторных функций;
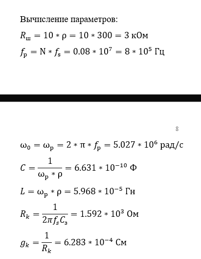
-предполагаемый характер частотных характеристик (ЧХ) и их вычисление значений ЧХ на ωн = 0,7;
-расчет резонансных частот и резонансных сопротивлений;
-определение полосы пропускания цепи;
- определение ряда численных значений ЧХ в характерных точках (ω=0, ω=ωр. и т.д.);
-расчет АЧХ и ФЧХ входной и/или передаточной функций нагрузки с использованием выражений функций и автоматизированных методов анализа цепей;
1.2. Исследование транзистора с обобщенной нагрузкой:
-вывод операторных выражений входной и передаточной функций на основе метода узловых потенциалов/метода контурных токов, проверка полученных выражений всеми возможными способами;
-нормировка операторных функций.
1.3. Исследование транзистора с избирательной нагрузкой:
-предполагаемый характер ЧХ полной модели и определение ряда численных значений ЧХ в характерных точка
х (ω=0, ω=ωр. и т.д.);
-получение нормированных выражений входной и передаточной функций и их проверка всеми способами;
-получение выражений АЧХ и ФЧХ обеих функций на основе нормированных выражений и расчет по ним значений ЧХ на ωн= 0,7;
- расчет АЧХ и ФЧХ входной и передаточной функций с использованием выражений функций и автоматизированных методов анализа цепей;
- получение АЧХ и ФЧХ входной и передаточной функций на основе автоматизированного расчета цепи и построение частотных характеристик (с указанием на них ранее вычислительных значений); -представление входного сопротивления полной цепи последовательной и параллельной моделями на одной из частот заданного диапазона (ω0 и ωωр), ωн= 0,7;.
1.4 Выводы: анализ полученных результатов.

Оглавление
Введение 7
1 Исходные данные 8
2 Исследование схемы нагрузки 10
2.1 Предполагаемый характер АЧХ и ФЧХ входной функции 10
2.2 Предполагаемый характер АЧХ и ФЧХ передаточной функции 13
2.3 Предполагаемые значения резонансных частот и резонансных сопротивлений 14
2.4 Вывод выражений схемных функций 14
2.5 Проверка выражений схемных функций 14
2.6 Нормировка выражений схемных функций 15
2.7 Расчет резонансных частот и резонансных сопротивлений 15
2.8 Построение частотных характеристик входной функции 16
3 Исследование транзистора с обобщенной нагрузкой 17
3.1 Вывод операторных выражений 17
3.2 Проверка операторных выражений 18
3.3 Нормировка операторных выражений 19
4 Исследование транзистора с избирательной нагрузкой 20
4.1 Предполагаемый анализ частотных характеристик полной модели 20
4.2 Вывод операторных выражений для полной цепи и их проверка в крайних точках 22
4.3 Вывод АЧХ и ФЧХ входной и передаточной функций полной цепи 23
4.4 Построение частотных характеристик операторных функций 23
5 Автоматизированный расчет 25
6 Заключение 28
Список использованных источников 29

Характеристики курсовой работы

Учебное заведение
Просмотров
2
Качество
Идеальное компьютерное
Размер
977,51 Kb

Список файлов

primer_kursovaya_rabota.docx
Картинка-подпись
Если нужен другой вариант работы или отдельная задача из любой работы, пишите в комментарии

Комментарии

Нет комментариев
Стань первым, кто что-нибудь напишет!
Поделитесь ссылкой:
Цена: 590 руб.
Расширенная гарантия +3 недели гарантии, +10% цены
Рейтинг автора
5 из 5
Поделитесь ссылкой:
Сопутствующие материалы

Подобрали для Вас услуги

-80%
-30%
Вы можете использовать курсовую работу для примера, а также можете ссылаться на неё в своей работе. Авторство принадлежит автору работы, поэтому запрещено копировать текст из этой работы для любой публикации, в том числе в свою курсовую работу в учебном заведении, без правильно оформленной ссылки. Читайте как правильно публиковать ссылки в своей работе.
Свежие статьи
Популярно сейчас
Как Вы думаете, сколько людей до Вас делали точно такое же задание? 99% студентов выполняют точно такие же задания, как и их предшественники год назад. Найдите нужный учебный материал на СтудИзбе!
Ответы на популярные вопросы
Да! Наши авторы собирают и выкладывают те работы, которые сдаются в Вашем учебном заведении ежегодно и уже проверены преподавателями.
Да! У нас любой человек может выложить любую учебную работу и зарабатывать на её продажах! Но каждый учебный материал публикуется только после тщательной проверки администрацией.
Вернём деньги! А если быть более точными, то автору даётся немного времени на исправление, а если не исправит или выйдет время, то вернём деньги в полном объёме!
Да! На равне с готовыми студенческими работами у нас продаются услуги. Цены на услуги видны сразу, то есть Вам нужно только указать параметры и сразу можно оплачивать.
Отзывы студентов
Ставлю 10/10
Все нравится, очень удобный сайт, помогает в учебе. Кроме этого, можно заработать самому, выставляя готовые учебные материалы на продажу здесь. Рейтинги и отзывы на преподавателей очень помогают сориентироваться в начале нового семестра. Спасибо за такую функцию. Ставлю максимальную оценку.
Лучшая платформа для успешной сдачи сессии
Познакомился со СтудИзбой благодаря своему другу, очень нравится интерфейс, количество доступных файлов, цена, в общем, все прекрасно. Даже сам продаю какие-то свои работы.
Студизба ван лав ❤
Очень офигенный сайт для студентов. Много полезных учебных материалов. Пользуюсь студизбой с октября 2021 года. Серьёзных нареканий нет. Хотелось бы, что бы ввели подписочную модель и сделали материалы дешевле 300 рублей в рамках подписки бесплатными.
Отличный сайт
Лично меня всё устраивает - и покупка, и продажа; и цены, и возможность предпросмотра куска файла, и обилие бесплатных файлов (в подборках по авторам, читай, ВУЗам и факультетам). Есть определённые баги, но всё решаемо, да и администраторы реагируют в течение суток.
Маленький отзыв о большом помощнике!
Студизба спасает в те моменты, когда сроки горят, а работ накопилось достаточно. Довольно удобный сайт с простой навигацией и огромным количеством материалов.
Студ. Изба как крупнейший сборник работ для студентов
Тут дофига бывает всего полезного. Печально, что бывают предметы по которым даже одного бесплатного решения нет, но это скорее вопрос к студентам. В остальном всё здорово.
Спасательный островок
Если уже не успеваешь разобраться или застрял на каком-то задание поможет тебе быстро и недорого решить твою проблему.
Всё и так отлично
Всё очень удобно. Особенно круто, что есть система бонусов и можно выводить остатки денег. Очень много качественных бесплатных файлов.
Отзыв о системе "Студизба"
Отличная платформа для распространения работ, востребованных студентами. Хорошо налаженная и качественная работа сайта, огромная база заданий и аудитория.
Отличный помощник
Отличный сайт с кучей полезных файлов, позволяющий найти много методичек / учебников / отзывов о вузах и преподователях.
Отлично помогает студентам в любой момент для решения трудных и незамедлительных задач
Хотелось бы больше конкретной информации о преподавателях. А так в принципе хороший сайт, всегда им пользуюсь и ни разу не было желания прекратить. Хороший сайт для помощи студентам, удобный и приятный интерфейс. Из недостатков можно выделить только отсутствия небольшого количества файлов.
Спасибо за шикарный сайт
Великолепный сайт на котором студент за не большие деньги может найти помощь с дз, проектами курсовыми, лабораторными, а также узнать отзывы на преподавателей и бесплатно скачать пособия.
Популярные преподаватели
Добавляйте материалы
и зарабатывайте!
Продажи идут автоматически
7188
Авторов
на СтудИзбе
250
Средний доход
с одного платного файла
Обучение Подробнее