Для студентов ИДДО НИУ «МЭИ» по предмету Теория автоматического управления (ТАУ)Оценка устойчивости системы управленияОценка устойчивости системы управления
4,96592
2023-02-162023-02-16СтудИзба
Задача 4: Оценка устойчивости системы управления вариант 1.12
Описание
Оценка устойчивости системы управления
Вариант 1.12
Задание:
Определить устойчивость системы, описываемой системой дифференциальных
уравнений.
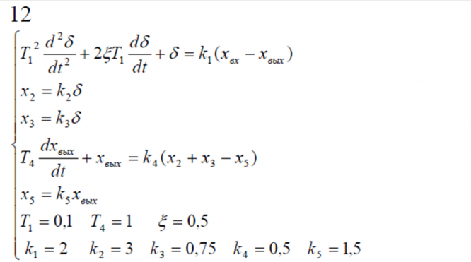
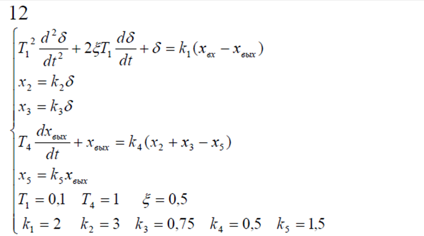
Вариант 1.12
Задание:
Определить устойчивость системы, описываемой системой дифференциальных
уравнений.

Характеристики решённой задачи
Учебное заведение
Семестр
Номер задания
Вариант
Программы
Просмотров
7
Качество
Идеальное компьютерное
Размер
442,3 Kb
Список файлов
Контрольная работа 4. .docx