Для студентов ИДДО НИУ «МЭИ» по предмету Теория автоматического управления (ТАУ)Построение структурной схемы системы управленияПостроение структурной схемы системы управления
4,96592
2023-02-162023-02-16СтудИзба
Задача 1, 2: Построение структурной схемы системы управления вариант 12
Описание
Вариант 12
Задание
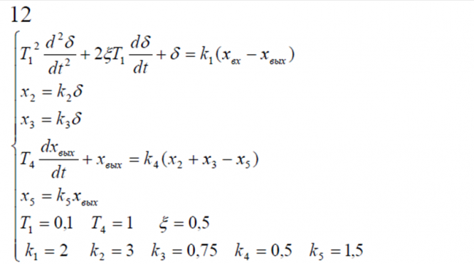
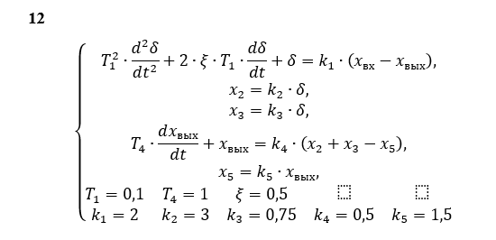
По системе дифференциальных уравнений составить структурную схему САУ, упростить, используя правила структурных преобразований, полученную структурную схему САУ, определить передаточную функцию САУ.
Оценка устойчивости системы управления
Вариант 1.12
Задание:
Определить устойчивость системы, описываемой системой дифференциальных
уравнений.
Характеристики решённой задачи
Учебное заведение
Семестр
Вариант
Программы
Просмотров
6
Качество
Идеальное компьютерное
Размер
493,1 Kb
Список файлов
Контрольная работа 3. .docx
Комментарии
Нет комментариев
Стань первым, кто что-нибудь напишет!
ИДДО НИУ «МЭИ» 


















