Для студентов по предмету Теория автоматического управления (ТАУ)Определить структуру и параметры корректирующего устройства последовательного типа для заданной системы, исходя из следующих требований к динамике сисОпределить структуру и параметры корректирующего устройства последовательного типа для заданной системы, исходя из следующих требований к динамике сис
5,00517955
2023-01-202023-01-20СтудИзба
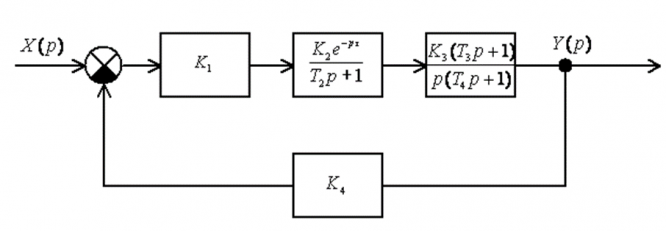
Определить структуру и параметры корректирующего устройства последовательного типа для заданной системы, исходя из следующих требований к динамике системы: А) перерегулирование η≤25%; Б) показатель колебательности М≤1,2; В) частоту среза скорректиров
Описание
Определить структуру и параметры корректирующего устройства последовательного типа для заданной системы, исходя из следующих требований к динамике системы:
А) перерегулирование η≤25%;
Б) показатель колебательности М≤1,2;
В) частоту среза скорректированной системы принять равной 0,5∙ωсреза исходной системы.
K1 | K2 | K3 | K4 | T1 | T2 | T3 | T4 | τ |
10 | 5,5 | 1,5 | 0,75 | 0,01 | 0,5 | 1,5 | 10 | 0,005 |

Файлы условия, демо
Характеристики решённой задачи
Программы
Просмотров
1
Качество
Идеальное компьютерное
Размер
72,86 Kb
Список файлов
Задача 1.docx
