Для студентов ИГЭУ им. Ленина по предмету Теория автоматического управления (ТАУ)Исследование переходной характеристики объекта управленияИсследование переходной характеристики объекта управления
5,00576
2025-04-042025-05-27СтудИзба
Лабораторная работа 1: Исследование переходной характеристики объекта управления вариант 9
Описание
- Цель работы
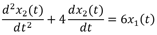
– получение навыков оперирования основными формами математического описания объекта управления (дифференциальное уравнение, передаточная функция, переходная характеристика), а также выполнения преобразования для перехода от одной формы представления к другой;
– освоение базовых приемов работы в «MATLAB»/ «Simulink», необходимых для выполнения дальнейших исследований в рамках лабораторного практикума.
- Программа-задание

- Выполнение работы
- Вывод
Характеристики лабораторной работы
Учебное заведение
Семестр
Номер задания
Вариант
Программы
Теги
Просмотров
5
Качество
Идеальное компьютерное
Размер
142,5 Kb
Преподаватели
Список файлов
тау лаба 1 9.docx

🎓Помощь студентам Ивановских ВУЗов🎓 ❤️ Каждая приобретенная работа служит стимулом для добавления новых материалов и упрощает учебный процесс.