Для студентов ИГЭУ им. Ленина по предмету Теория автоматического управления (ТАУ)Исследование переходной характеристики объекта управленияИсследование переходной характеристики объекта управления
5,00575
2025-03-142025-05-27СтудИзба
Лабораторная работа 1: Исследование переходной характеристики объекта управления вариант 14
Описание
- Цель работы
– получение навыков оперирования основными формами математического описания объекта управления (дифференциальное уравнение, передаточная функция, переходная характеристика), а также выполнения преобразования для перехода от одной формы представления к другой;
– освоение базовых приемов работы в «MATLAB»/ «Simulink», необходимых для выполнения дальнейших исследований в рамках лабораторного практикума.
- Программа-задание

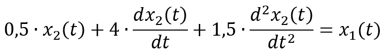
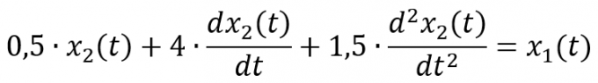
Необходимо найти переходную характеристику объекта управления, используя теорему разложения, и проверить полученный результат, воспользовавшись встроенными функциями «MATLAB». Получить характер переходного процесса на выходе звена при подаче на его вход единичного ступенчатого воздействия.
- Выполнение работы
- Вывод
Характеристики лабораторной работы
Учебное заведение
Семестр
Номер задания
Вариант
Программы
Теги
Просмотров
7
Качество
Идеальное компьютерное
Размер
179,48 Kb
Преподаватели
Список файлов
тау 1 (14).docx

🎓Помощь студентам Ивановских ВУЗов🎓 ❤️ Каждая приобретенная работа служит стимулом для добавления новых материалов и упрощает учебный процесс.