Для студентов ПНИПУ в г. Лысьва по предмету Теория автоматического управления (ТАУ)Расчет системы автоматического управленияРасчет системы автоматического управления
5,00510
2025-09-112025-09-11СтудИзба
Курсовая работа: Расчет системы автоматического управления вариант 6
Описание
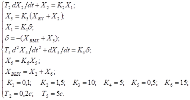
работу САУ необходимо:
![]()
- Составить структурную схему САУ;
- Найти передаточную функцию разомкнутой системы на основе использования правил структурных преобразований
- Построить асимптотическую ЛАЧХ, ЛФЧХ и АФХ разомкнутой САУ;
- Определить устойчивость замкнутой САУ; найти предельный коэффициент усиления;
- Определить статическую и кинетическую ошибки замкнутой системы.
- Сделать выводы о результатах проделанной работы.

Характеристики курсовой работы
Учебное заведение
Вариант
Программы
Просмотров
1
Качество
Идеальное компьютерное
Размер
281,42 Kb
Список файлов
6 Вариант.docx
Комментарии
Нет комментариев
Стань первым, кто что-нибудь напишет!
ПНИПУ в г. Лысьва
serseric

















