Для студентов ПНИПУ в г. Лысьва по предмету Теория автоматического управления (ТАУ)Теория автоматического управленияТеория автоматического управления
5,0052
2025-09-112025-09-11СтудИзба
Задача: Теория автоматического управления вариант 4
Новинка
Описание
Контрольная работа №1
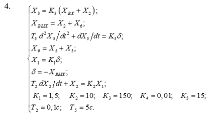
"Правила преобразования структурных схем"
1. Составить структурную схему САУ;
2. Найти передаточную функцию разомкнутой и замкнутой системы на основе использования правил структурных преобразований
Контрольная работа №2
"Алгебраические критерии устойчивости систем. Метод Гурвица"
![]()
"Правила преобразования структурных схем"
1. Составить структурную схему САУ;
2. Найти передаточную функцию разомкнутой и замкнутой системы на основе использования правил структурных преобразований

Контрольная работа №2
"Алгебраические критерии устойчивости систем. Метод Гурвица"

Характеристики решённой задачи
Учебное заведение
Вариант
Просмотров
1
Качество
Идеальное компьютерное
Размер
148,31 Kb
Список файлов
4
Задание 1.docx
Задание 2.docx