Для студентов по предмету Теоретические основы электротехники (ТОЭ)Определите токи в ветвях и напряжения на элементах цепи переменного тока частотой 50 Гц, схема которой изображена на рисунке 3.1 Расчет выполните всемОпределите токи в ветвях и напряжения на элементах цепи переменного тока частотой 50 Гц, схема которой изображена на рисунке 3.1 Расчет выполните всем
5,00517952
2022-04-222022-04-22СтудИзба
Определите токи в ветвях и напряжения на элементах цепи переменного тока частотой 50 Гц, схема которой изображена на рисунке 3.1 Расчет выполните всеми перечисленными ниже методами: 1) метод непосредственного применения законов Кирхгофа, 2) метод нал
Описание
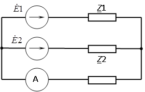
Определите токи в ветвях и напряжения на элементах цепи переменного тока частотой 50 Гц, схема которой изображена на рисунке 3.1
Расчет выполните всеми перечисленными ниже методами:
1) метод непосредственного применения законов Кирхгофа,
2) метод наложения,
3) метод эквивалентного генератора (определите ток в одной из ветвей цепи).
Составьте баланс активной и реактивной мощностей. Определите показания амперметра. Постройте векторную диаграмму токов и напряжений. Исходные данные для решения задачи указаны в таблице 3.1
Рисунок 3.1
Таблица 3.1
Ė1 В | Ė2 В | Z 1 ОМ | Z 2 ОМ | Z 3 ОМ |
48e-jπ/6 | 24e-jπ/3 | 10 – j10 | 6 – j8 | 4 - j3 |
Характеристики решённой задачи
Программы
Просмотров
3
Качество
Идеальное компьютерное
Размер
1,01 Mb
Список файлов
Задача.doc
