Для студентов МФПУ «Синергия» по предмету Теоретические основы электротехники (ТОЭ)Теоретические основы электротехники (тема 1-4) (новый), 45 вопросов (ответы на тест Синергия / МТИ / МОИ / МосАП)Теоретические основы электротехники (тема 1-4) (новый), 45 вопросов (ответы на тест Синергия / МТИ / МОИ / МосАП)
5,0054
2025-09-082025-09-08СтудИзба
Ответы к заданиям: Теоретические основы электротехники (тема 1-4) (новый), 45 вопросов (ответы на тест Синергия / МТИ / МОИ / МосАП)
Описание
- Выпрямитель, на выходе которого получают постоянное неизменяемое напряжение, называется…
- Источник питания, выдающий выпрямленный ток повышенной пульсации – …
- … – это устройство, напряжение на выходе которого поддерживается постоянным или почти постоянным при изменении сопротивления нагрузки или напряжения на выходе устройства.
- Все вещества по их магнитным свойствам подразделяются на…
- Вещества, в которых установился антиферромагнитный порядок магнитных моментов атомов или ионов, называются…
- При решении большинства электротехнических задач достаточно подразделять все вещества на…
- … материалы легко перемагничиваются в переменном магнитном поле, поэтому из них изготовляют сердечники и магнитопроводы для электрических машин, трансформаторов и электромагнитов.
- Количественная связь между линейным интегралом от вектора напряженности магнитного поля H вдоль любого произвольного контура и алгебраической суммой токов I, охваченных этим контуром, определяется законом …
- Задача определения величины намагничивающей силы, необходимой для создания заданного магнитного потока (заданной магнитной индукции) на каком-либо участке магнитопровода, называется задачей…
- «Обратная» задача для магнитной цепи решается… методом.
- На рисунке представлено условно-графическое обозначение…
- Феррорезонанс … наблюдается в цепи с последовательным соединением нелинейной индуктивной катушки и конденсатора.
- Катушку индуктивности, включаемую в цепь с целью ограничения силы переменного тока или предохранения цепи постоянного тока от появления в ней составляющей переменного тока, называют…
- Электрическими цепями с … называют цепи, в которых сопротивление, индуктивность, проводимость, емкость распределены вдоль линии.
- Линия называется …, если в продольном направлении неизменны ее поперечное сечение, положение его в пространстве и электромагнитные свойства заполняющих ее сред.
- Линия является …, если в произвольном поперечном сечении параметры среды неизменны.
- На рисунке представлена … линия.
- Уравнения на рисунке называются…
- На рисунке показана… электромагнитная волна.
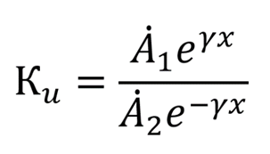
- Отношение напряжения отраженной волны в конце линии к напряжению падающей волны в конце линии, формула которого представлена на изображении называют … коэффициентом
- … – это такие линии, в которых для одного и того же момента времени ток и напряжение непрерывно изменяются при переходе от одной точки (сечения) линии к другой, соседней точке.
- В цепях … ток и напряжение являются функциями только одной переменной – времени.
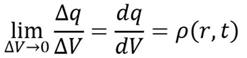
- На рисунке представлена формула…, которая характеризуется объемной плотностью, определенной как предел отношения.
- … определяют как силу, с которой электрическое поле действует на точечный положительный единичный заряд.
- В формуле величина, обозначенная p_i, является …
- На рисунке цифрой 1 обозначен …
- Индукционные установки повышенной частоты питаются от специальных агрегатов, предназначенных для преобразования ...
- На рисунке магнетрона цифрой 2 обозначен …
- … уравнение Максвелла – это обобщенный закон электромагнитной индукции, сформулированный Фарадеем: переменный магнитный поток Ф, пронизывающий контур, наводит в нем ЭДС е, равную скорости изменения потока.
- …имеет место при передаче энергии постоянным током на сверхдальние расстояния и в устройствах электроснабжения железных дорог постоянного тока при рекуперативном торможении ЭПС (электрического подвижного состава).
- К неуправляемым элементам относятся …
- Магнитный поток Ф измеряется в …
- Во всех ферромагнитных материалах наблюдается явление, известное под названием магнитного… Оно проявляется при намагничивании материала сначала в одном, а затем в противоположном направлении.
- Второй закон Кирхгофа для магнитной цепи гласит, что…
- Задача нахождения потоков (магнитных индукций) на отдельных участках цепи по заданным значениям намагничивающей силы называется задачей…
- Под … характеристикой понимают зависимость потока Ф по какому-либо участку магнитной цепи от падения магнитного напряжения на этом участке: Ф = f (Uм).
- Броневой тип сердечника трансформатора имеет … форму.
- Линии, физическая длина которых может быть соизмерима с длиной волны, передаваемого вдоль линии сигнала, называются … линиями.
- В том случае, если коэффициент отражения равен единице, то есть при равенстве амплитуд отраженной и падающей волн, в линии возникают … волны напряжения и тока.
- В качестве примера … можно назвать электрическую линию передачи высокого напряжения при наличии между проводами линии тихого электрического разряда — явления короны на проводах.
- На рисунке буквой L0 обозначена…
- Теория… или классическая теория электромагнитного поля учитывает только макроскопические свойства вещества: предполагается, что размеры рассматриваемой области пространства.
- На рисунке представлена формула для силы… – полной силы, действующей на точечный заряд q, находящийся в электромагнитном поле.
- На рисунке представлено уравнение …
- Величина под названием магнитная постоянная обозначается …
Список вопросов
В том случае, если коэффициент отражения равен единице, то есть при равенстве амплитуд отраженной и падающей волн, в линии возникают … волны напряжения и тока.
lt;IMG src="/user_files/21/tests/00000000-0000-0001-0002-000000023197/34.png"> На рисунке магнетрона цифрой 2 обозначен
На рисунке представлена формула для силы… – полной силы, действующей на точечный заряд q, находящийся в электромагнитном поле.
![]()

При решении большинства электротехнических задач достаточно подразделять все вещества на…
уравнение Максвелла – это обобщенный закон электромагнитной индукции, сформулированный Фарадеем: переменный магнитный поток Ф, пронизывающий контур, наводит в нем ЭДС е, равную скорости изменения потока
На рисунке буквой L0 обозначена…
![]()

В качестве примера … можно назвать электрическую линию передачи высокого напряжения при наличии между проводами линии тихого электрического разряда — явления короны на проводах
В формуле величина, обозначенная p_i, является
![]()

имеет место при передаче энергии постоянным током на сверхдальние расстояния и в устройствах электроснабжения железных дорог постоянного тока при рекуперативном торможении ЭПС (электрического подвижного состава).
Во всех ферромагнитных материалах наблюдается явление, известное под названием магнитного… Оно проявляется при намагничивании материала сначала в одном, а затем в противоположном направлении
Все вещества по их магнитным свойствам подразделяются на
В цепях … ток и напряжение являются функциями только одной переменной – времени.
это такие линии, в которых для одного и того же момента времени ток и напряжение непрерывно изменяются при переходе от одной точки (сечения) линии к другой, соседней точке
Отношение напряжения отраженной волны в конце линии к напряжению падающей волны в конце линии, формула которого представлена на изображении называют … коэффициентом
![]()

К неуправляемым элементам относятся …
Индукционные установки повышенной частоты питаются от специальных агрегатов, предназначенных для преобразования
Под … характеристикой понимают зависимость потока Ф по какому-либо участку магнитной цепи от падения магнитного напряжения на этом участке: Ф = f (Uм).
Величина под названием магнитная постоянная обозначается
Теория… или классическая теория электромагнитного поля учитывает только макроскопические свойства вещества: предполагается, что размеры рассматриваемой области пространства
На рисунке представлено уравнение
![]()

Выпрямитель, на выходе которого получают постоянное неизменяемое напряжение, называется
Уравнения на рисунке называются
![]()

Линия называется …, если в продольном направлении неизменны ее поперечное сечение, положение его в пространстве и электромагнитные свойства заполняющих ее сред
Феррорезонанс … наблюдается в цепи с последовательным соединением нелинейной индуктивной катушки и конденсатора
lt;IMG src="/user_files/21/tests/00000000-0000-0001-0002-000000023197/33.png"> На рисунке цифрой 1 обозначен …
Вещества, в которых установился антиферромагнитный порядок магнитных моментов атомов или ионов, называются
Катушку индуктивности, включаемую в цепь с целью ограничения силы переменного тока или предохранения цепи постоянного тока от появления в ней составляющей переменного тока, называют
Количественная связь между линейным интегралом от вектора напряженности магнитного поля H ⃗ вдоль любого произвольного контура и алгебраической суммой токов ∑I, охваченных этим контуром, определяется законом
Источник питания, выдающий выпрямленный ток повышенной пульсации
… определяют как силу, с которой электрическое поле действует на точечный положительный единичный заряд
– это устройство, напряжение на выходе которого поддерживается постоянным или почти постоянным при изменении сопротивления нагрузки или напряжения на выходе устройства.
материалы легко перемагничиваются в переменном магнитном поле, поэтому из них изготовляют сердечники и магнитопроводы для электрических машин, трансформаторов и электромагнитов
Задача определения величины намагничивающей силы, необходимой для создания заданного магнитного потока (заданной магнитной индукции) на каком-либо участке магнитопровода, называется задачей
Обратная» задача для магнитной цепи решается… методом
Линии, физическая длина которых может быть соизмерима с длиной волны, передаваемого вдоль линии сигнала, называются … линиями
Броневой тип сердечника трансформатора имеет … форму
Задача нахождения потоков (магнитных индукций) на отдельных участках цепи по заданным значениям намагничивающей силы называется задачей
Второй закон Кирхгофа для магнитной цепи гласит, что
Магнитный поток Ф измеряется в
Электрическими цепями с … называют цепи, в которых сопротивление, индуктивность, проводимость, емкость распределены вдоль линии
Линия является …, если в произвольном поперечном сечении параметры среды неизменны
На рисунке представлена формула…, которая характеризуется объемной плотностью, определенной как предел отношения
![]()

Характеристики ответов (шпаргалок) к заданиям
Тип
Коллекция: Ответы (шпаргалки) к заданиям
Учебное заведение
Просмотров
38
Качество
Идеальное компьютерное
Количество вопросов

❓ Как копировать вопросы во время теста в Синергии?

Если нужен другой вариант работы или отдельная задача из любой работы, пишите в комментарии