Для студентов по предмету Теоретическая механикаЗадача 66Задача 66
2013-09-042013-09-04СтудИзба
Задача К1: Задача 66 вариант 66
Описание
Под номером К1 помещены две задачи К1а и К1б, которые надо решить.
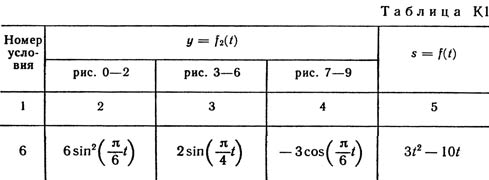
Задача К1а. Точка В движется в плоскости xy (рис. К1.0 - К 1.9, табл. К1; траектория точки на рисунках показана условно). Закон движения точки задан уравнениями: x = f1(t), y = f2(t), где x и y выражены в сантиметрах, t - в секундах.
Найти уравнение траектории точки; для момента времени t1 = 1 с определить скорость и ускорение точки, а также ее касательное и нормальное ускорения и радиус кривизны в соответствующей точке траектории. Зависимость x = f1(t) указана непосредственно на рисунках, а зависимость y = f2(t) дана в табл. K1 (для рис. 0 - 2 в столбце 2, для рис. 3 - 6 в столбце 3, для рис. 7 - 9 в столбце 4). Как и в задачах С1 - С4, номер рисунка выбирается по предпоследней цифре шифра, а номер условия в табл. К1 - по последней.
Задача К1б. Точка движется по дуге окружности радиуса R = 2 м по закону s = f(t), заданному в табл. К1 в столбце 5 (s - в метрах, t - в секундах), где s =AM - расстояние точки от некоторого начала A, измеренное вдоль дуги окружности. Определить скорость и ускорение точки в момент времени t1 = 1 с. Изобразить на рисунке векторы v и a, считая, что точка в этот момент находится в положении M, а положительное направление отсчета s - от А к М.
![]()
Задача К1а. Точка В движется в плоскости xy (рис. К1.0 - К 1.9, табл. К1; траектория точки на рисунках показана условно). Закон движения точки задан уравнениями: x = f1(t), y = f2(t), где x и y выражены в сантиметрах, t - в секундах.
Найти уравнение траектории точки; для момента времени t1 = 1 с определить скорость и ускорение точки, а также ее касательное и нормальное ускорения и радиус кривизны в соответствующей точке траектории. Зависимость x = f1(t) указана непосредственно на рисунках, а зависимость y = f2(t) дана в табл. K1 (для рис. 0 - 2 в столбце 2, для рис. 3 - 6 в столбце 3, для рис. 7 - 9 в столбце 4). Как и в задачах С1 - С4, номер рисунка выбирается по предпоследней цифре шифра, а номер условия в табл. К1 - по последней.
Задача К1б. Точка движется по дуге окружности радиуса R = 2 м по закону s = f(t), заданному в табл. К1 в столбце 5 (s - в метрах, t - в секундах), где s =AM - расстояние точки от некоторого начала A, измеренное вдоль дуги окружности. Определить скорость и ускорение точки в момент времени t1 = 1 с. Изобразить на рисунке векторы v и a, считая, что точка в этот момент находится в положении M, а положительное направление отсчета s - от А к М.


Характеристики решённой задачи
Предмет
Номер задания
Вариант
Теги
Просмотров
274
Размер
16,91 Kb
Список файлов

Зарабатывай на студизбе! Просто выкладывай то, что так и так делаешь для своей учёбы: ДЗ, шпаргалки, решённые задачи и всё, что тебе пригодилось.
Начать зарабатывать
Начать зарабатывать