Для студентов по предмету Теоретическая механикаЗадача 35Задача 35
2013-09-042013-09-04СтудИзба
Задача Д3: Задача 35 вариант 35
Описание
Механическая система состоит из грузов D1 массой m1 = 2 кг и D2 массой m2 = 6 кг и из прямоугольной вертикальной плиты массой m3 = 12 кг, движущейся вдоль горизонтальных направляющих (рис. Д3.0 - Д3.9, табл. Д3). В момент времени t0 = 0, когда система находилась в покое, под действием внутренних сил грузы начинают двигаться по желобам, представляющим собой окружности радиусов r = 0,4 м и R = 0,8 м.
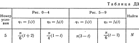
При движении грузов угол φ1 = ∠A1C3D1 изменяется по закону φ1 = f1(t), а угол φ2 = ∠A2C3D2 - по закону φ2 = f2(t). В табл. ДЗ эти зависимости даны отдельно для рис. 0 - 4 и 5 - 9, где φ выражено в радианах, t - в секундах.
Считая грузы материальными точками и пренебрегая всеми сопротивлениями, определить закон изменения со временем величины, указанной в таблице в столбце "Найти", т. е. x3 = t3(t) и N = f(t), где x3 - координата центра C3 плиты (зависимость x3 = f3(t) определяет закон движения плиты), N - полная нормальная реакция
![]()
При движении грузов угол φ1 = ∠A1C3D1 изменяется по закону φ1 = f1(t), а угол φ2 = ∠A2C3D2 - по закону φ2 = f2(t). В табл. ДЗ эти зависимости даны отдельно для рис. 0 - 4 и 5 - 9, где φ выражено в радианах, t - в секундах.
Считая грузы материальными точками и пренебрегая всеми сопротивлениями, определить закон изменения со временем величины, указанной в таблице в столбце "Найти", т. е. x3 = t3(t) и N = f(t), где x3 - координата центра C3 плиты (зависимость x3 = f3(t) определяет закон движения плиты), N - полная нормальная реакция


Характеристики решённой задачи
Предмет
Номер задания
Вариант
Теги
Просмотров
329
Размер
263,05 Kb
Список файлов

Зарабатывай на студизбе! Просто выкладывай то, что так и так делаешь для своей учёбы: ДЗ, шпаргалки, решённые задачи и всё, что тебе пригодилось.
Начать зарабатывать
Начать зарабатывать