Для студентов МГТУ им. Н.Э.Баумана по предмету Теоретическая механикаКинематика плоского движения твердого телаКинематика плоского движения твердого тела
5,0052
2023-06-192023-06-19СтудИзба
ДЗ 2: Кинематика плоского движения твердого тела вариант 15
Описание
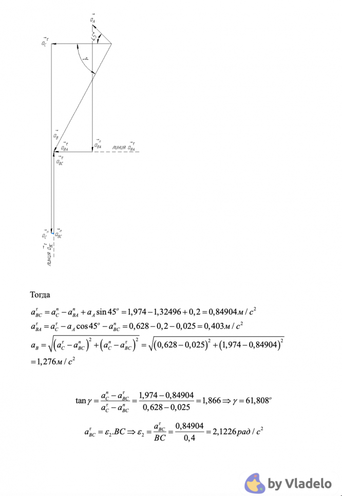
Решенное и проверенное преподавателем ДЗ2 "Кинематика плоского движения твёрдого тела", 15 вариант.
Задание выполнено в электронном виде:Характеристики домашнего задания
Предмет
Учебное заведение
Семестр
Номер задания
Вариант
Теги
Просмотров
55
Размер
492,78 Kb
Преподаватели
Список файлов
15.pdf

Vladelo