Для студентов МГТУ им. Н.Э.Баумана по предмету Теоретическая механикаКинематика точки и простейших движений твердого телаКинематика точки и простейших движений твердого тела
3,58571
2023-03-182024-09-03СтудИзба
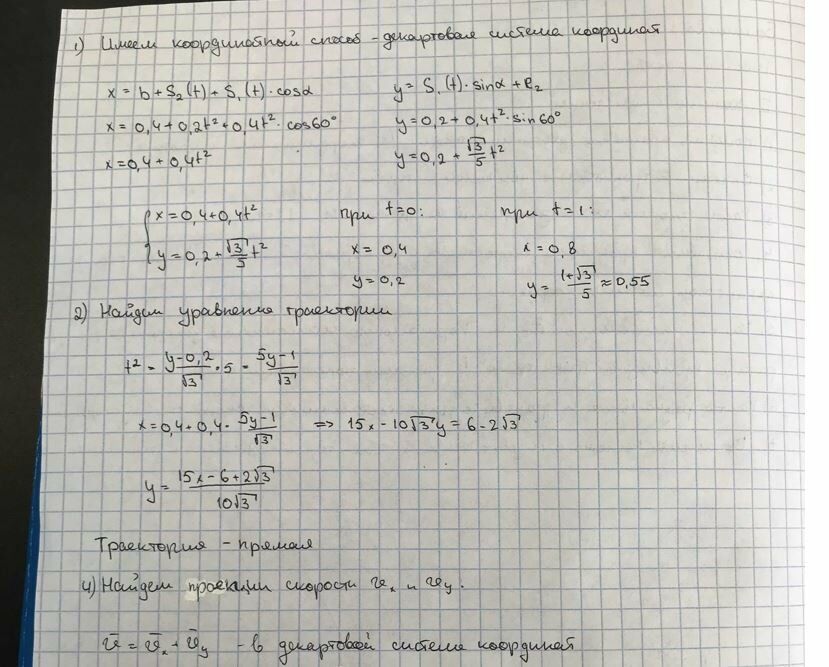
ДЗ 1: Кинематика точки и простейших движений твердого тела вариант 2
-66%
Описание
Вариант 2 - ДЗ №1 - Кинематика точки и простейших движений твердого тела
Зачтено на максимальный балл 💥 💥 💥
Спасибо за покупку 🥰🥰🥰

Характеристики домашнего задания
Предмет
Учебное заведение
Семестр
Номер задания
Вариант
Просмотров
225
Размер
1,96 Mb
Список файлов
Вариант 2 - ДЗ №1 - Кинематика точки и простейших движений твердого тела,.docx

Друзья, спасибо за доверие! Если вам понравилась работа – поставьте 5⭐ и напишите отзыв. Это поможет другим студентам, а мне даст силы делать ещё больше качественных материалов для вас 🔥
Комментарии

Отзыв
А как же вторая часть задания, про движение звеньев механизма?