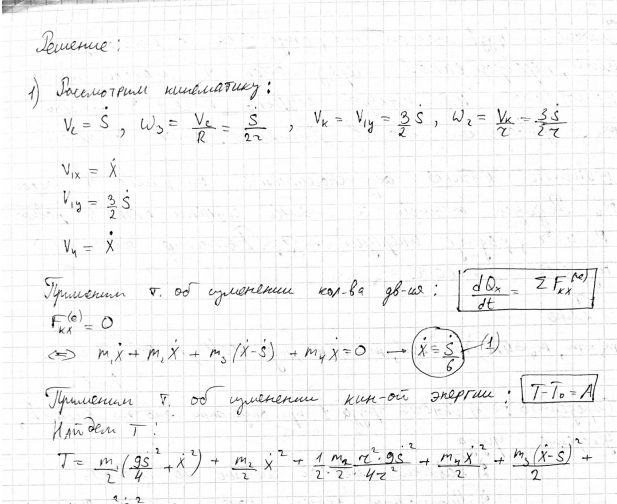
Для студентов МГТУ им. Н.Э.Баумана по предмету Теоретическая механикаОбщие теоремы динамикиОбщие теоремы динамики
5,0051
2021-08-292021-08-29СтудИзба
ДЗ 2: Общие теоремы динамики вариант 11
Описание
Защищено с трудом Пожалостину ![]()

Файлы условия, демо
Характеристики домашнего задания
Предмет
Учебное заведение
Семестр
Номер задания
Вариант
Теги
Просмотров
62
Качество
Скан рукописных листов
Размер
2,6 Mb
Список файлов
дзТермех№2.pdf
Комментарии
Нет комментариев
Стань первым, кто что-нибудь напишет!
МГТУ им. Н.Э.Баумана
den_rucomm


















