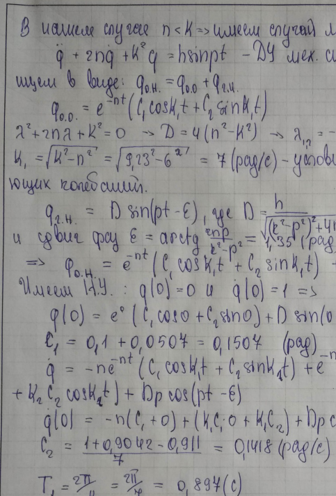
Для студентов МГТУ им. Н.Э.Баумана по предмету Теоретическая механикаКолебания линейной системы с одной степенью свободыКолебания линейной системы с одной степенью свободы
5,0052
2020-12-162020-12-16СтудИзба
ДЗ 2: Колебания линейной системы с одной степенью свободы вариант 11
Описание
Характеристики домашнего задания
Предмет
Учебное заведение
Семестр
Номер задания
Вариант
Просмотров
156
Размер
5,85 Mb
Список файлов
_ФН3-ДЗ2.pdf
Комментарии
Нет комментариев
Стань первым, кто что-нибудь напишет!

МГТУ им. Н.Э.Баумана


















