Для студентов МГТУ им. Н.Э.Баумана по предмету Теоретическая механикаДинамика материальной точкиДинамика материальной точки
5,0052
2019-10-072019-10-07СтудИзба
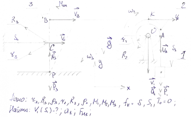
ДЗ 1: Динамика материальной точки вариант 17
Описание
Характеристики домашнего задания
Предмет
Учебное заведение
Семестр
Номер задания
Вариант
Просмотров
214
Размер
922,59 Kb
Список файлов
IMG_20190505_0003.pdf
IMG_20190505_0004.pdf
IMG_20190505_0005.pdf
МГТУ им. Н.Э.Баумана
zluovennxkei

















