Для студентов МАИ по предмету Теоретическая механикаДинамика механических системДинамика механических систем
5,0051
2025-12-17СтудИзба

Курсовая работа: Динамика механических систем вариант 27

-50%

Описание

Задание №27

Зубчатое колесо m2 массы те, и радиуса находится во внутреннем зацеплении с зубчатым колесом 1 массы m1 и радиуса R, вращающимся вокруг неподвижной горизонтальной оси O под действием постоянного момента М1. Кривошип ОА массы m3 в точке О насажен на ту же ось, а в точке А шарнирно соединен с центром колеса 2 (рис. 27). К кривошипу приложен постоянный момент M2 и упругий момент спиральной пружины жесткости с. При φ=0 пружина не деформирована.
  • 1. Ввести подвижную систему координат, связанную с колесом 1. Считая θ(t) и φ(t) заданными функциями времени, вычислить абсолютную скорость и абсолютное ускорение точки А. Изобразить на чертеже составляющие векторов vабс и ωабс.
  • 2. Принять в этом пункте, что М2=0, с=0, колесо 2 невесомо, а в его центре А закреплена точечная масса m2. Считая θ(t) заданной функцией времени, составить векторное дифференциальное уравнение движения точки А относительно подвижной системы координат, введенной в п. 1.
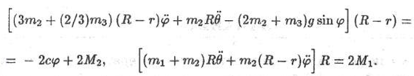
  • 3. Считая θ(t) и φ(t) заданными функциями времени, найти проекции ROx и ROy реакции шарнира О. Применить теорему о движении центра масс. Показать, что
  • 4. Считая, что θ≡const, составить дифференциальное уравнение движения системы, воспользовавшись теоремой об изменении кинетического момента системы относительно осей О и А.
  • 5, Для условия п. 4 определить, какую угловую скорость будет иметь стержень ОА в горизонтальном положении, если в верхнем вертикальном положении ему сообщена угловая скорость ω. Определить также, при каком условии стержень достигнет горизонтального положения. Применить теорему об изменении кинетической энергии системы.
  • 6. Считая функции θ(t) и φ(t) заданными, определить главные векторы и главные моменты относительно центров масс сил инерции колес и стержня.
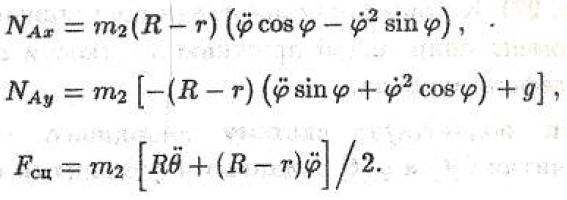
  • 7. Используя принцип Даламбера, найти проекции NAx и NAy реакции шарнира А, а также величину Fсц силы сцепления в точке касания колес 1 и 2. Показать, что
  • 8. Составить дифференциальные уравнения движения системы, исходя из общего уравнения аналитической динамики и приняв за обобщенные координаты θ и φ.
  • 9. Составить выражения для кинетической и потенциальной энергии системы, вычислить обобщенные силы.
  • 10. Используя уравнения Лагранжа второго рода, показать, что дифференциальные уравнения движения системы имеют вид: Для случая М12=0 записать интеграл энергии и циклический интеграл системы.
  • 11. Полагая, что М12=0, получить условие устойчивости верхнего (φ=О) положения относительного равновесия колеса 2. Найти период его малых колебаний в окрестности этого положения равновесия.
  • 12. Задавая численные значения параметров и начальные условия: m1=2кг, m2=1кг, m3=1кг, R=1м, r=0,2м, с=2Н/м, M1=0,5Н*м, M2=0,2Н*м, t0=0, θ0=π/2, φ0=π/6, θ0`=2с-1, φ0`=0, составить программу решения системы дифференциальных уравнений и на ЭВМ построить зависимости θ(t), φ(t), NAx(t), NAy(t).

Характеристики курсовой работы

Учебное заведение
Вариант
Программы
Просмотров
37
Качество
Идеальное компьютерное
Размер
1,02 Mb

Преподаватели

Список файлов

Динамика механических систем.docx
Картинка-подпись
Вам все понравилось? Получите кэшбэк - 40 рублей на Ваш счёт при покупке. Поставьте оценку и напишите положительный комментарий к купленному файлу. После Вы получите деньги на ваш счет.

Комментарии

Нет комментариев
Стань первым, кто что-нибудь напишет!
Поделитесь ссылкой:
Цена: 3 000 1 490 руб.
Расширенная гарантия +3 недели гарантии, +10% цены
Рейтинг покупателей
5 из 5
Поделитесь ссылкой:
Сопутствующие материалы

Подобрали для Вас услуги

Вы можете использовать курсовую работу для примера, а также можете ссылаться на неё в своей работе. Авторство принадлежит автору работы, поэтому запрещено копировать текст из этой работы для любой публикации, в том числе в свою курсовую работу в учебном заведении, без правильно оформленной ссылки. Читайте как правильно публиковать ссылки в своей работе.
Свежие статьи
Популярно сейчас
Почему делать на заказ в разы дороже, чем купить готовую учебную работу на СтудИзбе? Наши учебные работы продаются каждый год, тогда как большинство заказов выполняются с нуля. Найдите подходящий учебный материал на СтудИзбе!
Ответы на популярные вопросы
Да! Наши авторы собирают и выкладывают те работы, которые сдаются в Вашем учебном заведении ежегодно и уже проверены преподавателями.
Да! У нас любой человек может выложить любую учебную работу и зарабатывать на её продажах! Но каждый учебный материал публикуется только после тщательной проверки администрацией.
Вернём деньги! А если быть более точными, то автору даётся немного времени на исправление, а если не исправит или выйдет время, то вернём деньги в полном объёме!
Да! На равне с готовыми студенческими работами у нас продаются услуги. Цены на услуги видны сразу, то есть Вам нужно только указать параметры и сразу можно оплачивать.
Отзывы студентов
Ставлю 10/10
Все нравится, очень удобный сайт, помогает в учебе. Кроме этого, можно заработать самому, выставляя готовые учебные материалы на продажу здесь. Рейтинги и отзывы на преподавателей очень помогают сориентироваться в начале нового семестра. Спасибо за такую функцию. Ставлю максимальную оценку.
Лучшая платформа для успешной сдачи сессии
Познакомился со СтудИзбой благодаря своему другу, очень нравится интерфейс, количество доступных файлов, цена, в общем, все прекрасно. Даже сам продаю какие-то свои работы.
Студизба ван лав ❤
Очень офигенный сайт для студентов. Много полезных учебных материалов. Пользуюсь студизбой с октября 2021 года. Серьёзных нареканий нет. Хотелось бы, что бы ввели подписочную модель и сделали материалы дешевле 300 рублей в рамках подписки бесплатными.
Отличный сайт
Лично меня всё устраивает - и покупка, и продажа; и цены, и возможность предпросмотра куска файла, и обилие бесплатных файлов (в подборках по авторам, читай, ВУЗам и факультетам). Есть определённые баги, но всё решаемо, да и администраторы реагируют в течение суток.
Маленький отзыв о большом помощнике!
Студизба спасает в те моменты, когда сроки горят, а работ накопилось достаточно. Довольно удобный сайт с простой навигацией и огромным количеством материалов.
Студ. Изба как крупнейший сборник работ для студентов
Тут дофига бывает всего полезного. Печально, что бывают предметы по которым даже одного бесплатного решения нет, но это скорее вопрос к студентам. В остальном всё здорово.
Спасательный островок
Если уже не успеваешь разобраться или застрял на каком-то задание поможет тебе быстро и недорого решить твою проблему.
Всё и так отлично
Всё очень удобно. Особенно круто, что есть система бонусов и можно выводить остатки денег. Очень много качественных бесплатных файлов.
Отзыв о системе "Студизба"
Отличная платформа для распространения работ, востребованных студентами. Хорошо налаженная и качественная работа сайта, огромная база заданий и аудитория.
Отличный помощник
Отличный сайт с кучей полезных файлов, позволяющий найти много методичек / учебников / отзывов о вузах и преподователях.
Отлично помогает студентам в любой момент для решения трудных и незамедлительных задач
Хотелось бы больше конкретной информации о преподавателях. А так в принципе хороший сайт, всегда им пользуюсь и ни разу не было желания прекратить. Хороший сайт для помощи студентам, удобный и приятный интерфейс. Из недостатков можно выделить только отсутствия небольшого количества файлов.
Спасибо за шикарный сайт
Великолепный сайт на котором студент за не большие деньги может найти помощь с дз, проектами курсовыми, лабораторными, а также узнать отзывы на преподавателей и бесплатно скачать пособия.
Популярные преподаватели
Добавляйте материалы
и зарабатывайте!
Продажи идут автоматически
6936
Авторов
на СтудИзбе
265
Средний доход
с одного платного файла
Обучение Подробнее
{user_main_secret_data}