Для студентов МАИ по предмету Теоретическая механикаДинамика механических системДинамика механических систем
5,00511
2025-11-06СтудИзба

Курсовая работа: Динамика механических систем вариант 9

-50%

Описание

Задание №9

Однородный стержень ОС массы m1 и длины l может вращаться вокруг оси О. В точке С стержень при помощи шарнира соединен с однородным диском массы m2 и радиуса r, к краю диска жестко прикреплена материальная точка А массы m3. Вращению диска препятствует спиральная пружина жесткости c, прикрепленная к стержню (рис. 9). При φ=ψ=0 пружина не деформирована.

  • 1. Ввести подвижную систему координат, начало которой совпадает с точкой С, а оси движутся поступательно. Считая φ(t) и ψ(t) заданными функциями времени, найти абсолютную скорость и абсолютное ускорение точки А. Изобразить на чертеже составляющие векторов vабс и ωабс.
  • 2. Считая, что φ=ωt, ω=const, написать векторное уравнение движения точки А относительно подвижной системы координат, введенной в п, 1.
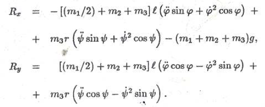
  • З. Считая φ(t) и ψ(t) известными, найти проекции Rx и Ry реакции в шарнире О. Применить теорему о движении центра масс механической системы. Показать, что
  • 4. Полагая, что φ≡0 и c=0 (пружина отсутствует), составить дифференциальное уравнение вращения механической системы вокруг оси О. Применить теорему об изменении кинетического момента.
  • 5. Считая φ≡0, найти максимальный угол, на который повернется диск, если при φ0=0 его закрутили с угловой скоростью ω0. Применить теорему об изменении кинетической энергии.
  • 6. Считая φ(t) и ψ(t) заданными функциями времени, найти главный вектор и главный момент относительно оси О сил инерции системы.
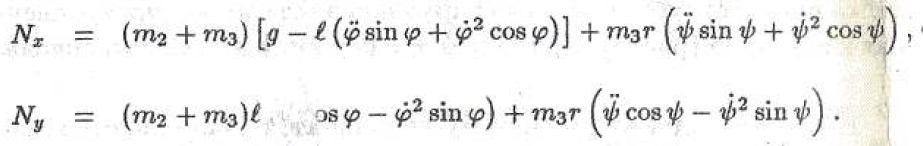
  • 7. С помощью принципа Даламбера найти проекции Nx и Ny реакции шарнира С. Показать, что
  • 8. Составить дифференциальные уравнения движения системы, исходя из общего уравнения аналитической динамики и приняв за обобщенные координаты φ и ψ.
  • 9. Составить выражения для кинетической и потенциальной энергии системы, вычислить обобщенные силы.
  • 10. Показать, что уравнения движения механической системы в форме уравнений Лагранжа второго рода имеют вид: Записать интеграл энергии системы.
  • 11. Полагая ψ≡0, показать, что положение равновесия φ`=0 является устойчивым, и найти период малых колебаний около этого положения равновесия.
  • 12. Задавая численные значения параметров: m1=2кг, m2=3кг, m3=1кг, l=1м, r=0,5м, c=10Н*м и начальные условия: t0=0, φ00=0, φ0`=0,5с-1, ψ0`=-0,5с-1, составить программу решения системы дифференциальных уравнений и на ЭВМ построить зависимости φ(t), ψ(t), Rx(t), Ry(t).

Характеристики курсовой работы

Учебное заведение
Вариант
Просмотров
751
Качество
Скан рукописных листов
Размер
10,74 Mb

Преподаватели

Список файлов

Динамика механических систем.pdf
Картинка-подпись
Вам все понравилось? Получите кэшбэк - 40 рублей на Ваш счёт при покупке. Поставьте оценку и напишите положительный комментарий к купленному файлу. После Вы получите деньги на ваш счет.

Комментарии

Отзыв
Сделано хорошо
Поделитесь ссылкой:
Цена: 3 000 1 490 руб.
Расширенная гарантия +3 недели гарантии, +10% цены
Рейтинг покупателей
5 из 5
Поделитесь ссылкой:
Сопутствующие материалы

Подобрали для Вас услуги

Новинка
-41%
-52%
Вы можете использовать курсовую работу для примера, а также можете ссылаться на неё в своей работе. Авторство принадлежит автору работы, поэтому запрещено копировать текст из этой работы для любой публикации, в том числе в свою курсовую работу в учебном заведении, без правильно оформленной ссылки. Читайте как правильно публиковать ссылки в своей работе.
Свежие статьи
Популярно сейчас
Почему делать на заказ в разы дороже, чем купить готовую учебную работу на СтудИзбе? Наши учебные работы продаются каждый год, тогда как большинство заказов выполняются с нуля. Найдите подходящий учебный материал на СтудИзбе!
Ответы на популярные вопросы
Да! Наши авторы собирают и выкладывают те работы, которые сдаются в Вашем учебном заведении ежегодно и уже проверены преподавателями.
Да! У нас любой человек может выложить любую учебную работу и зарабатывать на её продажах! Но каждый учебный материал публикуется только после тщательной проверки администрацией.
Вернём деньги! А если быть более точными, то автору даётся немного времени на исправление, а если не исправит или выйдет время, то вернём деньги в полном объёме!
Да! На равне с готовыми студенческими работами у нас продаются услуги. Цены на услуги видны сразу, то есть Вам нужно только указать параметры и сразу можно оплачивать.
Отзывы студентов
Ставлю 10/10
Все нравится, очень удобный сайт, помогает в учебе. Кроме этого, можно заработать самому, выставляя готовые учебные материалы на продажу здесь. Рейтинги и отзывы на преподавателей очень помогают сориентироваться в начале нового семестра. Спасибо за такую функцию. Ставлю максимальную оценку.
Лучшая платформа для успешной сдачи сессии
Познакомился со СтудИзбой благодаря своему другу, очень нравится интерфейс, количество доступных файлов, цена, в общем, все прекрасно. Даже сам продаю какие-то свои работы.
Студизба ван лав ❤
Очень офигенный сайт для студентов. Много полезных учебных материалов. Пользуюсь студизбой с октября 2021 года. Серьёзных нареканий нет. Хотелось бы, что бы ввели подписочную модель и сделали материалы дешевле 300 рублей в рамках подписки бесплатными.
Отличный сайт
Лично меня всё устраивает - и покупка, и продажа; и цены, и возможность предпросмотра куска файла, и обилие бесплатных файлов (в подборках по авторам, читай, ВУЗам и факультетам). Есть определённые баги, но всё решаемо, да и администраторы реагируют в течение суток.
Маленький отзыв о большом помощнике!
Студизба спасает в те моменты, когда сроки горят, а работ накопилось достаточно. Довольно удобный сайт с простой навигацией и огромным количеством материалов.
Студ. Изба как крупнейший сборник работ для студентов
Тут дофига бывает всего полезного. Печально, что бывают предметы по которым даже одного бесплатного решения нет, но это скорее вопрос к студентам. В остальном всё здорово.
Спасательный островок
Если уже не успеваешь разобраться или застрял на каком-то задание поможет тебе быстро и недорого решить твою проблему.
Всё и так отлично
Всё очень удобно. Особенно круто, что есть система бонусов и можно выводить остатки денег. Очень много качественных бесплатных файлов.
Отзыв о системе "Студизба"
Отличная платформа для распространения работ, востребованных студентами. Хорошо налаженная и качественная работа сайта, огромная база заданий и аудитория.
Отличный помощник
Отличный сайт с кучей полезных файлов, позволяющий найти много методичек / учебников / отзывов о вузах и преподователях.
Отлично помогает студентам в любой момент для решения трудных и незамедлительных задач
Хотелось бы больше конкретной информации о преподавателях. А так в принципе хороший сайт, всегда им пользуюсь и ни разу не было желания прекратить. Хороший сайт для помощи студентам, удобный и приятный интерфейс. Из недостатков можно выделить только отсутствия небольшого количества файлов.
Спасибо за шикарный сайт
Великолепный сайт на котором студент за не большие деньги может найти помощь с дз, проектами курсовыми, лабораторными, а также узнать отзывы на преподавателей и бесплатно скачать пособия.
Популярные преподаватели
Добавляйте материалы
и зарабатывайте!
Продажи идут автоматически
6784
Авторов
на СтудИзбе
280
Средний доход
с одного платного файла
Обучение Подробнее