Для студентов МАИ по предмету Теоретическая механикаДинамика механических системДинамика механических систем
4,96530270
2025-10-24СтудИзба

Курсовая работа: Динамика механических систем вариант 2

-50%

Описание

Задание №2

Однородный диск массы m1 и радиуса r может вращаться вокруг горизонтальной оси О, расположенной на расстоянии ОС=е=r/√3 от центра масс (рис. 2). Спиральная пружина жесткости c соединяет диск с неподвижной осью. К диску с помощью шарнира А подвешен невесомый стержень длины l с точечным грузом В массы m2, причем АС ┴ СО.
  • 1. Ввести подвижную систему координат, начало которой совпадает с точкой А, а оси движутся поступательно. Считая φ(t) и θ(t) заданными функциями времени, вычислить абсолютную скорость и абсолютное ускорение груза В. Изобразить на чертеже составляющие векторов vабс и wабс.
  • 2. Считая φ(t) заданной функцией времени, составить дифференциальное уравнение движения груза В относительно подвижной системы координат, введенной в п. 1.
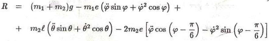
  • З. При помощи теоремы об изменении количества движения получить выражение для вертикальной проекции R реакции шарнира O. Показать, что она вычисляется по формуле
  • 4. Полагая m2=0, найти зависимость угловой скорости диска от угла φ, если при φ=О; ω0=0 . Применить рему об изменении кинетического момента.
  • 5. Полагая m2=О, найти работу, совершаемую силами, приложенными к диску при изменении угла φ от 0 до π/2. Применяя теорему об изменении кинетической энергии, определить наименьшую скорость, которую надо сообщить точке С при φ=0, чтобы диск повернулся на угол φ=π/2.
  • 6. Считая φ(t) и θ(t) заданными функциями времени, найти силы инерции точки В, а также главный вектор и главный момент относительно точки C сил инерции диска.
  • 7. Используя принцип Даламбера, показать, что величина реакции шарнира А определяется формулой
  • 8. Полагая m2=0, составить дифференциальные уравнения движения системы, исходя из общего уравнения аналитической динамики и приняв за обобщенные координаты φ и θ.
  • 9. Составить выражения для кинетической и потенциальной энергии системы, вычислить обобщенные силы.
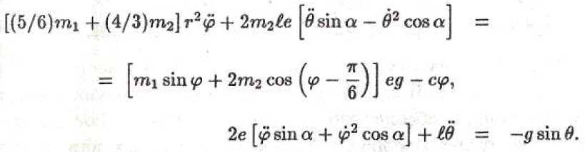
  • 10. Используя уравнения Лагранжа второго рода, показать, что дифференциальные уравнения движения системы имеют вид Записать интеграл энергии системы.
  • 11. Полагая m2=0, найти, при каком условии положение равновесия φ=0 диска будет устойчивым. Найти период малых колебаний в окрестности этого положения равновесия.
  • 12. Задавая численные значения параметров и начальные условия: m1=1кг; m2=0,2кг; r=0,2м; l=0,2м; c=1,95Н*м; t0=0; φ0=π/12; θ0=0; φ`0=π/36; θ`0=0, составить программу решения системы дифференциальных уравнений и на ЭВМ построить зависимости φ(t), θ(t), RA(t).
  • 11. Для условия п. 4 составить уравнение малых колебаний шарика в окрестности его нижнего положения равновесия. Найти период малых колебаний шарика.
  • 12. Задавая численные значения параметров и начальные условия: m=2кг, M=1кг, R=1м, c=40 Н/м, t0=0, φ0=π/3, Ѱ0=0, φ`0=Ѱ`0=0 составить программу решения системы дифференциальных уравнений и на ЭВМ построить зависимости φ(t), Ѱ(t), N(t).

Характеристики курсовой работы

Учебное заведение
Вариант
Просмотров
619
Качество
Фото рукописных листов
Размер
13,2 Mb

Преподаватели

Список файлов

Динамика механических систем.pdf
Картинка-подпись
Вам все понравилось? Получите кэшбэк - 40 рублей на Ваш счёт при покупке. Поставьте оценку и напишите положительный комментарий к купленному файлу. После Вы получите деньги на ваш счет.

Комментарии

Поделитесь ссылкой:
Цена: 3 000 1 490 руб.
Расширенная гарантия +3 недели гарантии, +10% цены
Рейтинг автора
4,96 из 5
Поделитесь ссылкой:
Сопутствующие материалы

Подобрали для Вас услуги

Новинка
-52%
Вы можете использовать курсовую работу для примера, а также можете ссылаться на неё в своей работе. Авторство принадлежит автору работы, поэтому запрещено копировать текст из этой работы для любой публикации, в том числе в свою курсовую работу в учебном заведении, без правильно оформленной ссылки. Читайте как правильно публиковать ссылки в своей работе.
Свежие статьи
Популярно сейчас
А знаете ли Вы, что из года в год задания практически не меняются? Математика, преподаваемая в учебных заведениях, никак не менялась минимум 30 лет. Найдите нужный учебный материал на СтудИзбе!
Ответы на популярные вопросы
Да! Наши авторы собирают и выкладывают те работы, которые сдаются в Вашем учебном заведении ежегодно и уже проверены преподавателями.
Да! У нас любой человек может выложить любую учебную работу и зарабатывать на её продажах! Но каждый учебный материал публикуется только после тщательной проверки администрацией.
Вернём деньги! А если быть более точными, то автору даётся немного времени на исправление, а если не исправит или выйдет время, то вернём деньги в полном объёме!
Да! На равне с готовыми студенческими работами у нас продаются услуги. Цены на услуги видны сразу, то есть Вам нужно только указать параметры и сразу можно оплачивать.
Отзывы студентов
Ставлю 10/10
Все нравится, очень удобный сайт, помогает в учебе. Кроме этого, можно заработать самому, выставляя готовые учебные материалы на продажу здесь. Рейтинги и отзывы на преподавателей очень помогают сориентироваться в начале нового семестра. Спасибо за такую функцию. Ставлю максимальную оценку.
Лучшая платформа для успешной сдачи сессии
Познакомился со СтудИзбой благодаря своему другу, очень нравится интерфейс, количество доступных файлов, цена, в общем, все прекрасно. Даже сам продаю какие-то свои работы.
Студизба ван лав ❤
Очень офигенный сайт для студентов. Много полезных учебных материалов. Пользуюсь студизбой с октября 2021 года. Серьёзных нареканий нет. Хотелось бы, что бы ввели подписочную модель и сделали материалы дешевле 300 рублей в рамках подписки бесплатными.
Отличный сайт
Лично меня всё устраивает - и покупка, и продажа; и цены, и возможность предпросмотра куска файла, и обилие бесплатных файлов (в подборках по авторам, читай, ВУЗам и факультетам). Есть определённые баги, но всё решаемо, да и администраторы реагируют в течение суток.
Маленький отзыв о большом помощнике!
Студизба спасает в те моменты, когда сроки горят, а работ накопилось достаточно. Довольно удобный сайт с простой навигацией и огромным количеством материалов.
Студ. Изба как крупнейший сборник работ для студентов
Тут дофига бывает всего полезного. Печально, что бывают предметы по которым даже одного бесплатного решения нет, но это скорее вопрос к студентам. В остальном всё здорово.
Спасательный островок
Если уже не успеваешь разобраться или застрял на каком-то задание поможет тебе быстро и недорого решить твою проблему.
Всё и так отлично
Всё очень удобно. Особенно круто, что есть система бонусов и можно выводить остатки денег. Очень много качественных бесплатных файлов.
Отзыв о системе "Студизба"
Отличная платформа для распространения работ, востребованных студентами. Хорошо налаженная и качественная работа сайта, огромная база заданий и аудитория.
Отличный помощник
Отличный сайт с кучей полезных файлов, позволяющий найти много методичек / учебников / отзывов о вузах и преподователях.
Отлично помогает студентам в любой момент для решения трудных и незамедлительных задач
Хотелось бы больше конкретной информации о преподавателях. А так в принципе хороший сайт, всегда им пользуюсь и ни разу не было желания прекратить. Хороший сайт для помощи студентам, удобный и приятный интерфейс. Из недостатков можно выделить только отсутствия небольшого количества файлов.
Спасибо за шикарный сайт
Великолепный сайт на котором студент за не большие деньги может найти помощь с дз, проектами курсовыми, лабораторными, а также узнать отзывы на преподавателей и бесплатно скачать пособия.
Популярные преподаватели
Добавляйте материалы
и зарабатывайте!
Продажи идут автоматически
6753
Авторов
на СтудИзбе
283
Средний доход
с одного платного файла
Обучение Подробнее