Для студентов МГТУ им. Н.Э.Баумана по предмету Теоретическая механикаСборка теории и МНОГИХ решенных задач для подготовки к Экзамену по Терммеху (4-го семестра)Сборка теории и МНОГИХ решенных задач для подготовки к Экзамену по Терммеху (4-го семестра)
5,0059
2023-06-022024-08-06СтудИзба
Сборка теории и МНОГИХ решенных задач для подготовки к Экзамену по Терммеху (4-го семестра)
Ответы к экзамену: Сборка теории и МНОГИХ решенных задач для подготовки к Экзамену по Терммеху (4-го семестра)
-38%
Описание
ВСЕ ОТВЕТЫ ТЕСТИРОВАНИЯ НА ЭКЗАМЕНЕ ЗА 4 СЕМЕСТР (2 КУРС)
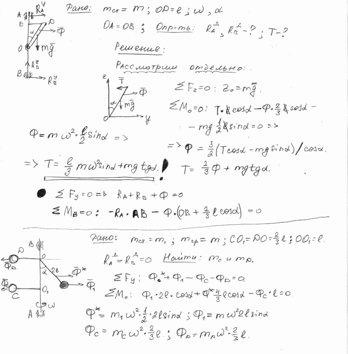
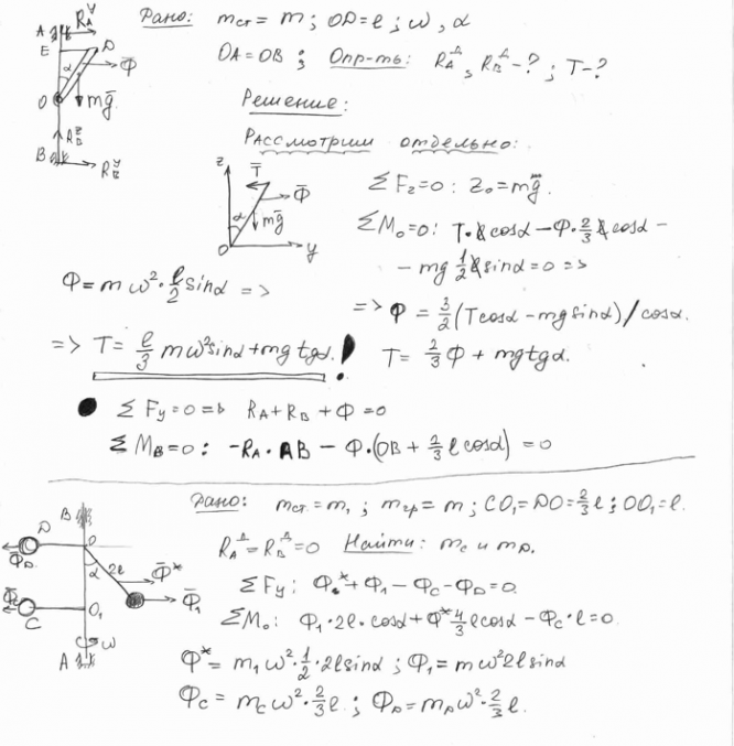
РЕШЕНИЕ МНОГИХ ЗАДАЧ НА ЭКЗАМЕНЕ (124 ФОТКИ РЕШЕНИЯ ЗАДАЧ)
ДЕМО
👉ТЕСТИРОВАНИЕ: (132 ЛИСТЫ А4 в PDF)



👉ЗАДАЧИ:



👉ТЕОРИЯ:

Сборка теории и МНОГИХ решенных задач для подготовки к Экзамену по Терммеху (4-го семестра) .
Характеристики ответов (шпаргалок) к экзамену
Предмет
Учебное заведение
Семестр
Просмотров
115
Качество
Файлы различного качества
Размер
110,99 Mb
Список файлов
124 задачи к экзамену
1.jpg
2.jpg
3.jpg
4.jpg
5.jpg
6.jpg
7.jpg
8.jpg
9.jpg
10.jpg
11.jpg
12.jpg
13.jpg
14.jpg
P1040039.JPG
P1040040.JPG
P1040041.JPG
P1040042.JPG
P1040043.JPG
P1040044.JPG
P1040045.JPG
P1040046.JPG
P1040047.JPG
P1040048.JPG
P1040049.JPG
P1040050.JPG
P1040052.JPG
P1040053.JPG
P1040054.JPG
P1040056.JPG

Если работа Вам была полезна, Пожалуйста, потратьте несколько секунд, чтобы оставить нам 5 ЗВЁЗД и положительный отзывы. Мы Вам глубоко признателены!