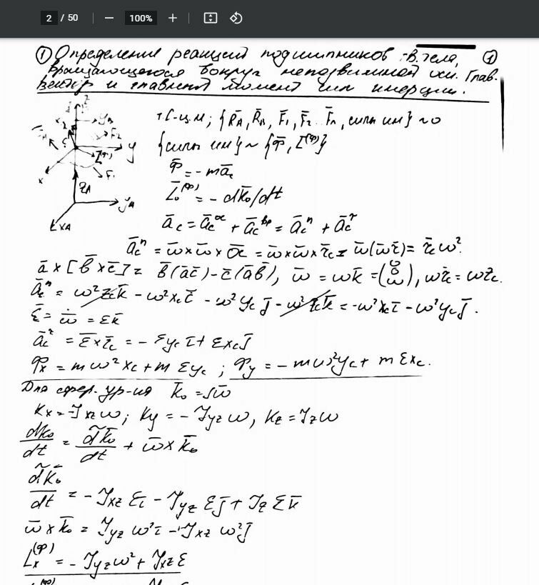
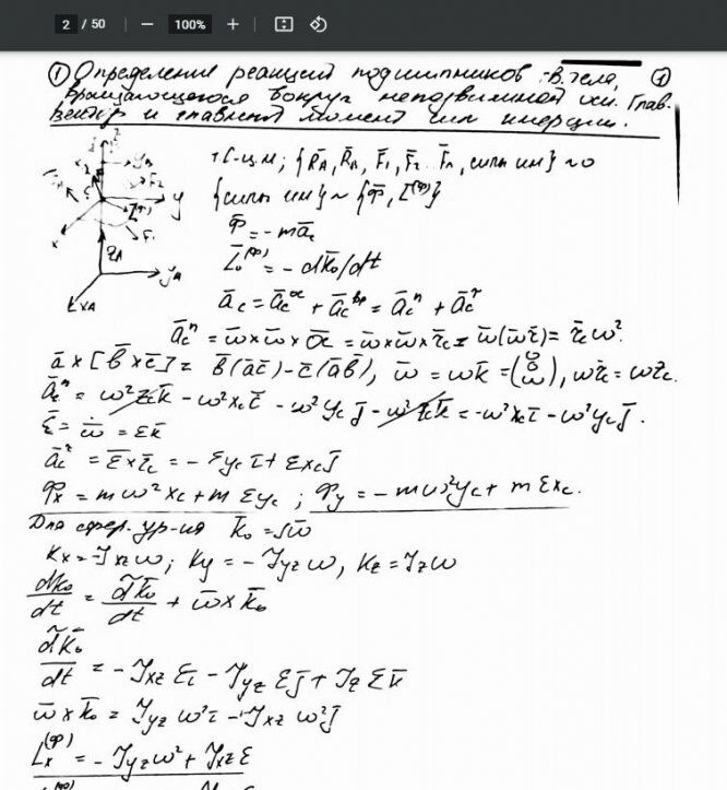
Для студентов МГТУ им. Н.Э.Баумана по предмету Теоретическая механикаОтветы на всю теорию к экзамену 2023гОтветы на всю теорию к экзамену 2023г
5,0055
2021-06-302024-09-03СтудИзба
Ответы к экзамену: Ответы на всю теорию к экзамену 2023г
-66%
Описание
Файлы условия, демо
Характеристики ответов (шпаргалок) к экзамену
Предмет
Учебное заведение
Программы
Просмотров
292
Размер
49,31 Mb
Список файлов
Ответы на всю теорию к экзамену
Вопросы.jpg
Все теория.pdf
Ответы на все теорию.pdf

Друзья, спасибо за доверие! Если вам понравилась работа – поставьте 5⭐ и напишите отзыв. Это поможет другим студентам, а мне даст силы делать ещё больше качественных материалов для вас 🔥