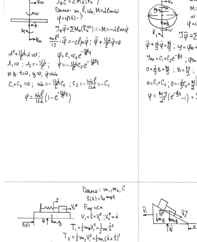
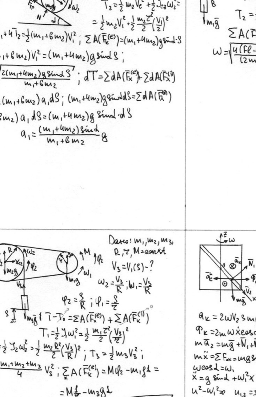
Для студентов МГТУ им. Н.Э.Баумана по предмету Теоретическая механикарешенные задачи экзаменарешенные задачи экзамена
5,0052
2020-11-192020-11-19СтудИзба
Ответы к экзамену: решенные задачи экзамена
Описание

Характеристики ответов (шпаргалок) к экзамену
Предмет
Учебное заведение
Семестр
Просмотров
115
Размер
16,98 Mb
Список файлов
sborka_zadach.pdf
Комментарии
Нет комментариев
Стань первым, кто что-нибудь напишет!
МГТУ им. Н.Э.Баумана

















