Для студентов МГТУ им. Н.Э.Баумана по предмету Теоретическая механика60 задач на Общие Теоремы Динамики к экзамену60 задач на Общие Теоремы Динамики к экзамену
5,0053
2020-06-212025-02-11СтудИзба
Ответы к экзамену: 60 задач на Общие Теоремы Динамики к экзамену
-60%
Описание
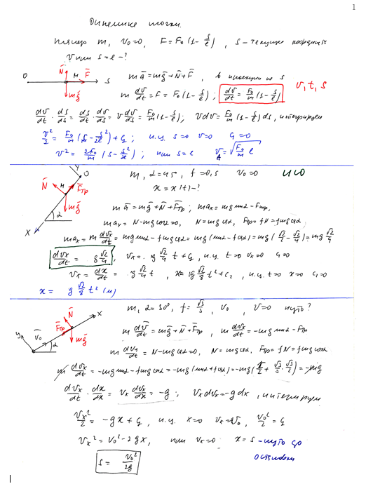
60 задач на Общие Теоремы Динамики к экзамену и РК, решены идеально
![]()

Характеристики ответов (шпаргалок) к экзамену
Предмет
Учебное заведение
Просмотров
315
Размер
12,01 Mb
Список файлов
50 задач 2 сем ТМ.doc

Спасибо за покупку! Я буду очень рад, если поставишь справедливую оценку купленному файлу :3 Ищи больше работ в моём профиле, там много нужного тебе!