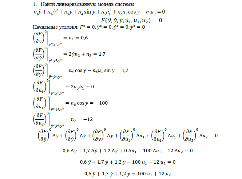
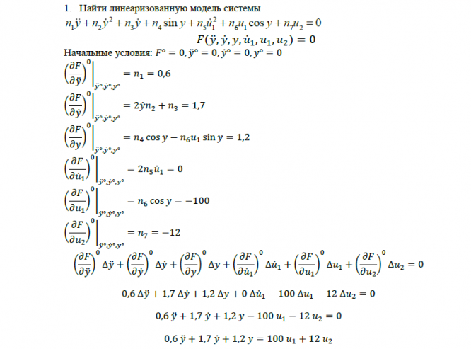
Для студентов МГТУ им. Н.Э.Баумана по предмету Технические наукиКурсовая работа (вариант №9)Курсовая работа (вариант №9)
4,885373
2021-07-132021-07-13СтудИзба
НИР: Курсовая работа (вариант №9)
Описание
Характеристики НИР
Предмет
Учебное заведение
Семестр
Просмотров
4
Размер
1,83 Mb
Список файлов
Курсовая работа (вариант №9).pdf
МГТУ им. Н.Э.Баумана
















