📝Техническая механика.ти ЭБС
Описание
Аннотация
Тема 1. Теоретическая механика
Тема 2. Сопротивление материалов
Тема 3. Детали узлов и машин
Литература
Укажите передаточные механизмы, в которых фрикционные передачи получили наибольшее распространение.
Редукторы
Мультипликаторы
Вариаторы
Коробки скоростей
Чугунная труба с наружным диаметром 25 см и толщиной стенки 1 см лежит на двух опорах, расположенных на взаимном расстоянии 12 м, и наполнена водой. Каковы наибольшие нормальные напряжения в трубе, если удельный вес чугуна 7,8 г/см3?
132 кг/см2
354 кг/см2
412 кг/см2
653 кг/см2
Балка пролетом 2 м свободно лежит на двух опорах, имеет прямоугольное сечение шириной 6 см и высотой 10 см. Она нагружена сосредоточенной силой 0,5 т, приложенной посредине пролета, и сосредоточенной силой 1 т, приложенной на расстоянии 0,33 м от правой опоры. Определить нормальное напряжение в точке поперечного сечения, отстоящего на 0,33 м от левой опоры. Точка находится на расстоянии 2 см от верхней грани балки. Силы направлены сверху вниз.
52 кг/см2
83 кг/см2
125 кг/см2
213 кг/см2
Для определения мощности, передаваемой валом, замерялись при помощи тензометра удлинения по линии, расположенной под углом 45° к наружной образующей вала. Замеренное относительное удлинение оказалось равным ε = 0,000425. Наружный диаметр вала равен 40 см, а внутренний 24 см. Модуль упругости G = 8·105кг/см2. Чему равна мощность, передаваемая валом, если он вращается со скоростью 120 об/мин?
12500 л.с.
15300 л.с.
18200 л.с.
25100 л.с.
К тросу диаметром d = 10 мм подвешена клеть шахтного подъемника весом 100 кг. Длина троса, нагруженного лишь весом самой клети, равна 100 м; его длина, когда клеть загружена еще 400 кг руды, на 3 см больше. Определить модуль упругости троса.
3,2×10^5 кг/см^2
1,7×10^6 кг/см^2
4,4×10^6 кг/см^2
2,5×10^7 кг/см^2
Какие втулочные цепи выпускаются в настоящее время?
Однорядные
Однорядные и двухрядные
Однорядные и многорядные
Только многорядные
Определить наружный диаметр полого стального вала, передающего мощность 9600 л.с. при частоте вращения 110 об/мин, если допускаемое касательное напряжение равно 560 кг/см2, а внутренний диаметр составляет 0,6 от внешнего.
16,4 см
21,3 см
40,2 см
53,2 см
Сосновая стойка сечением 20х20 см опирается на дубовую подушку, как указано на рисунке. Допускаемое напряжение на смятие для сосны вдоль волокон равно 100 кг/см2, а для дуба поперек волокон 30 кг/см2. Определить предельную нагрузку на стойку.
200 кг
670 кг
2 т
12 т
Атомная подводная лодка проекта 941 «Акула» с подводным водоизмещением 48 тысяч тонн находится на глубине 200 м. Чему равна работа силы Архимеда, совершаемая при всплытии лодки на поверхность? Ответы выражены в ГДж=109 Дж.
9,41
94,1
941
9408
Две материальные точки с массами m1=2 кг и m2=1 кг соединены тонким невесомым стержнем длиной l = 30 см. Чему равен JC –полярный момент инерции такой системы относительно его центра масс? Все величины выражены в системе СИ.
0,02
0,03
0,04
0,06
К чему приводит износ цепи?
К разрушению валиков
К разрушению втулок.
К разрушению пластин.
К нарушению зацепления цепи со звездочками (соскакивание цепи)
Медный стержень диаметром 40 мм вставлен с очень малым зазором в стальную трубку с наружным диаметром 60 мм. На обоих концах стержень скреплен с трубкой жесткими шпильками диаметром 20 мм, проходящими через стержень и обе стенки трубки перпендикулярно к их оси. Определить касательные напряжения в шпильках, если температура всей конструкции повысилась на 40° С. При определении усилия деформацию шпильки не учитывать.
125 кг/см2
229 кг/см2
365 кг/см2
651 кг/см2
При вертикальном подъеме груза массой m = 4 кг на высоту h = 2 м. была совершена работа 88 Дж. Чему равно ускорение, с которым двигался груз? Все величины выражены в системе СИ.
1,2
4,9
9,8
11,0
Стальной стержень круглого поперечного сечения (d = 32 мм и длины l = 35 см) был растянут на испытательной машине усилием 13,5 т. Было замерено уменьшение диаметра, равное 0,0062 мм, и на длине 5 см удлинение, равное 0,040 мм. Чему равен модуль упругости?
2,1·10^6 кг/см2
4,7·10^6 кг/см2
1,4·10^7 кг/см2
3,1·10^7 кг/см2
Чугунная колонна высотой 3 м кольцевого поперечного сечения имеет наружный диаметр 25 см и толщину стенки 25 мм. Каково относительное сжатие колонны при нагрузке 50 тонн.
3,21·10^-3
1,24·10^-2 г
2,36·10^-4
6,32·10^-5
В машиностроении приходится создавать передачи между осями: 1) параллельными; 2) пересекающимися под некоторым углом; 3) пересекающимися под прямым углом; 4) скрещивающимися. В каком случае применение фрикционных передач практически невозможно?
Параллельными
пересекающимися под некоторым углом
пересекающимися под прямым углом
скрещивающимися
Чему равен момент инерции однородного прямого цилиндра массой m=3 кг, высотой H=20 см и радиусом основания R= 20 см относительно оси, проходящей через центр круга в его нижнем основании перпендикулярно высоте цилиндра? Все величины выражены в системе СИ.
0,04
0,07
0,08
0,14
Балка длиной 6 м лежит на двух опорах, расположенных на взаимном расстоянии 4,5 м; причем правый конец балки свешивается на 0,5 м. Погонный метр балки весит 66 кг кроме того, на расстоянии 2,25 м от левой опоры балка нагружена сосредоточенной силой 1 т. Определить величину нагрузки, которую нужно приложить к концу левой консоли для того, чтобы изгибающий момент в сечении, где приложена сила 1 т, был бы равен нулю. Определить опорные реакции при этих условиях.
2540 кг
3210 кг
4130 кг
5820 кг
К какому виду механических передач относятся цепные передачи?
Трением с промежуточной гибкой связью.
Зацеплением с промежуточной гибкой связью.
Трением с непосредственным касанием рабочих тел.
Зацеплением с непосредственным касанием рабочих тел
Механизм имеет несколько последовательных передач; при вращении ведущего вала со скоростью 1000 об/мин ведомый вращается со скоростью 80 об/мин. Как правильно назвать этот механизм?
Коробка скоростей
Вариатор
Мультипликатор
Редуктор
Полый вал, соединяющий турбину и генератор в гидротехнической установке, имеет наружный диаметр 40 см и внутренний диаметр 22,5 см. Скорость вращения 120 об/мин. Чему равны наибольшие касательные напряжения при передаче валом 10000 л.с.?
270 кг/см2
480 кг/см2
530 кг/см2
750 кг/см2
Стальной вал длиной 2 м и диаметром 5 см при нагружении его крутящим моментом 400 кгм закручивается на угол 9,2°. Предел пропорциональности для касательных напряжений равен 1700 кг/см2. Определить величину модуля упругости при сдвиге.
3,2·10^5 кг/см2
8,1·10^5 кг/см2
1,4·10^6 кг/см2
5,6·10^6 кг/см2
Чугунная колонна высотой 3 м кольцевого поперечного сечения имеет наружный диаметр 25 см и толщину стенки 25 мм. Каково абсолютное укорочение колонны при нагрузке 50 тонн.
1,5 мм
2,34 см
0,25 м
0,71 мм
Велосипедное колесо вращается с частотой n=5 оборотов в секунду. Под действием сил трения оно остановилось через интервал времени Δt = 1 мин. Чему равен модуль углового ускорения колеса ε? Все величины выражены в системе СИ.
50,083
0,262
0,523
Чему равен момент инерции тонкой однородной сферы массой m=3 кг и радиуса R= 20 см относительно оси, касающейся поверхности сферы в одной из ее точек? Все величины выражены в системе СИ.
0,08
0,12
0,20
0,24
Каким минимальным значением ограничивают угол захвата ремнем меньшего шкива в плоскоременных передачах?
90°
120°
150°
170°
Определить наименьший диаметр стального вала, передающего 18 л.с. при 120 об/мин, если допускаемый угол закручивания равен 1° на длине, равной 15 диаметрам вала.
4,9 см
9,8 см
13,7 см
16,4 см
Чтобы уменьшить вес сплошного круглого вала на 20% его заменили полым, наружный диаметр которого в два раза больше внутреннего. Чему будут равны наибольшие касательные напряжения в полом вале, если в сплошном они были равны 600 кг/см2?
150 кг/см2
300 кг/см2
460 кг/см2
580 кг/см2
Во фрикционной передаче с коническими катками между пересекающимися осями. Внешнюю прижимающую катки силу как следует прикладывать?
Вдоль осей катков
Перпендикулярно осям катков
Вдоль линии соприкосновения катков
Перпендикулярно линии соприкосновения катков
Чтобы зубчатые колеса могли быть введены в зацепление, что у них должно быть одинаковым?
Диаметры
Ширина
Число зубьев
Шаг
Стержень из малоуглеродистой стали шириной 30 см и толщиной 15 мм ослаблен заклепочным отверстием диаметром 23 мм, расположенным на оси стержня. Какое растягивающее усилие этот стержень может выдержать, если допускаемое напряжение равно 900 кг/см^2.
250 кг
560 кг
2,5 т
37,4 т
Разрывающее усилие P приложено к плоскому деревянному образцу сечением 2x4 см2 (см. рисунок) . Предел прочности на растяжение для дерева равен 560 кг/см2? Чему при этом равно скалывающее напряжение в головках этого образца?
22 кг/см2
48 кг/см2
56 кг/см2
72 кг/см2
Балка прямоугольного поперечного сечения пролетом l =4 м, свободно лежащая на двух опорах, загружена сплошной равномерно распределенной нагрузкой q = 4 т/м. Найти величину наибольших касательных напряжений в сечении посредине пролета балки, если размеры сечения 10x20 см2.
100 кг/см2
300 кг/см2
600 кг/см2
900 кг/см2
Из отмеченных недостатков фрикционных передач: (смотри варианты). Какой пункт записан ошибочно?
большие нагрузки на валы и подшипники
необходимость в специальных прижимных устройствах
равномерность вращения
передаточное число u = var
Какую наибольшую нагрузку может выдержать деревянный столб сечением 16x16 см при сжимающем напряжении не более 100 кг/см2.
25600 кг
32300 кг
15600 кг
8900 кг
В каком случае можно применить червячную передачу?
Оси валов параллельны.
Пересекаются под некоторым углом
Пересекаются под прямым углом
Скрещиваются под прямым углом
Чугунная колонна высотой 3 м кольцевого поперечного сечения имеет наружный диаметр 25 см и толщину стенки 25 мм. Каково напряжения в поперечном сечении колонны при нагрузке 50 тонн.
15 кг/см2
283 кг/см2
790 кг/см2
8,3 кг/см2
Три материальные точки с одинаковыми массами m1=m2=m3=3 кг лежат в одной плоскости в вершинах правильного треугольника со стороной a=20 см. Чему равен J–полярный момент инерции такой системы относительно точки, расположенной в одной из его вершин? Все величины выражены в системе СИ.
0,12
0,15
0,24
0,36
Где следует размещать ролик в ременной передаче с натяжным роликом?
В середине между шкивами.
Ближе к меньшему шкиву.
Ближе к большему шкиву
Безразлично где.
К нижнему концу троса, закрепленного верхним концом, подвешен груз Р = 7,5 т.
Трос составлен из проволок диаметром d = 1 мм. Допускаемое напряжение для материала троса равно 3000 кг/см2. Из какого количества проволок должен быть составлен трос?
40
80
100
150
Чему равен угол вклинивания клиновых ремней?
40°
35°
30°
20°
Две материальные точки с массами m1=2 кг и m2=3 кг лежат на одной оси OX в точках с координатами x1=5 м, x2=10 м. Чему равна XC –координата точки центра масс такой системы? Все величины выражены в системе СИ.
67
8
9
Какая ременная передача допускает наибольшее передаточное отношение?
Плоскоременная
Клиноременная
Круглоременная
От типа ремня передаточное отношение не зависит
От чего не зависит коэффициент прочности зубьев по изгибным напряжениям (формы зуба)?
Материала
Числа зубьев
Коэффициента смещения исходного контура
Формы выкружки у основания зуба
Укажите, с каким шагом приводные цепи стандартизованы? С шагом, кратным:
1 мм
5 мм
10 мм
25,4 мм (один дюйм)
Для работы фрикционной передачи необходима сила, прижимающая катки друг к другу. Какова величина этой силы по отношению к полезному окружному усилию?
Равна
Может быть и больше и меньше
Всегда меньше
Всегда больше
Сплошной вал диаметром 10 см и длиной 6 м закручен на угол 4°. Чему равно наибольшее касательное напряжение, если G = 8☐105 кг/см2?
120 кг/см2
270 кг/см2
466 кг/см2
670 кг/см2
При одинаковой толщине, какой из стандартных плоских ремней позволяет осуществить передачу с минимальными диаметрами шкивов?
Прорезиненный
Кожаный
Хлопчатобумажный
Шерстяной
Груз подвешен к стальной проволоке, размеры которой до деформации были следующими: l = 3 м и d =1,6 мм. Удлинение проволоки оказалось равным 1,5 мм. Затем тот же груз был подвешен к медной проволоке длиной l = 1,8 м и диаметром d = 3,2 мм. Ее удлинение получилось равным 0,39 мм. Определить модуль упругости медной проволоки, если модуль стальной - E = 2·10^6кг/см2.
9,12·10^5 кг/см2
1,15·10^6 кг/см2
3,4·10^6 кг/см2
0,45·10^7 кг/см2
Какое значение кпд следует ожидать в самотормозящейся червячной передаче?
0,9
0,8
0,6
0,4
Полый стальной вал длиной 1,8 м нагружен крутящим моментом 0,6 тм. Определить наружный диаметр вала, если угол закручивания не должен превосходить 2°, а касательное напряжение 700 кг/см2.
67,8 мм
72,4 мм
82,3 мм
90,4 мм
Укажите цепи, предназначенные для работы при больших скоростях.
Круглозвенные
Грузовые
Тяговые
Приводные
Две проволоки, одна стальная, другая медная, имеют одинаковую длину и нагружены одинаковыми осевыми растягивающими усилиями. Медная проволока имеет диаметр 1 мм. Чему равен диаметр стальной проволоки, если обе проволоки удлиняются на одинаковую величину?
0,23 мм
0,71 мм
104 мм
0,53 мм
Какая цель преследуется введением ограничения на максимально возможное отношение толщины ремня к диаметру меньшего шкива?
Стабилизировать величину упругого скольжения
Ограничить напряжения изгиба
Обеспечить достаточную величину сцепления ремня со шкивом
Создать определенное предварительное натяжение
Мощность энергетических установок атомного крейсера «Петр Великий» примерно равна 103 МВт (140 000 л.с.) при максимальной скорости в 32 узла (60 км/час) и полном водоизмещении 25 860 т. Оцените время разгона этого крейсера до максимальной скорости при условии 100% использования мощности силовых установок. Все величины выражены в системе СИ.
50
70
100
140
Приведен ряд чисел: 5; 10; 15; 20; 30; 40; 50; 60; 70; 80. Сколько из них могут быть использованы для назначения числа зубьев червячного колеса в обычных силовых передачах?
10
9
8
6
Стальной стержень длиной 6 м растянут силой 20 т; модуль упругости материала Е = 2×10^6кг/см^2, коэффициент поперечной деформации μ =0,25. Определить увеличение объема стержня.
1 см3
2 см3
3 см3
4 см3
Диаметр окружности выступов нормального прямозубого зубчатого колеса равен 110 мм, число зубьев — 20. Чему равен диаметр делительной окружности?
110 мм
100 мм
90 мм
80 мм
Маховик начал вращаться равноускоренно и за промежуток времени t=10 с. достиг частоты вращения n=300 оборотов в минуту. Какое число оборотов N, он успел сделать за это время?
25
50
1800
3000
Приведены формулы для расчета угла подъема витка червяка: где p — шаг; z1 — число заходов червяка; d1 - диаметр червяка; q—характеристика червяка (коэффициент диаметра). В какой формуле допущена ошибка?
1
2
3
4
Три материальные точки с массами m1= 4 кг, m2=m3=1 кг лежат в одной плоскости OXY в вершинах правильного треугольника со стороной α=3 м. Чему равно расстояние от точки центра масс такой системы до первой точки? Все величины выражены в системе СИ.
0,87
1,73
2,08
2,60
Из однородного листа стали вырезали пластину в форме прямоугольного треугольника с катетами α=18 см. и b=24 см. Чему расстояние от центра масс этой пластины до вершины прямого угла? Все величины выражены в системе СИ.
0,06
0,08
0,10
0,12
Какую длину цепи целесообразно назначать для цепной передачи?
Любую
Равную четному числу шагов
Равную нечетному числу шагов
Назначение длины связывают с числом зубьев звездочек
При каком взаимном расположении валов возможно применение цепной передачи?
Оси валов параллельны
Пересекаются под некоторым углом
Пересекаются под прямым углом
Скрещиваются под любым углом
Определить диаметр сплошного вала, передающего крутящий момент 1,5 тм, если допускаемое напряжение равно 700 кг/см2.
8,6 см
10,3 см
12,8 см
19,5 см
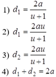
Какая из написанных зависимостей между межосевым расстоянием (α) и диаметрами зубчатых колес в редуцирующей передаче (d1, d2) неправильная, где u — передаточное число?
1
2
3
4
С чем связывают назначение длины червяка?
С модулем
С модулем и числом зубьев колеса
С модулем, числом зубьев колеса и коэффициентом смещения
С модулем, числом зубьев колеса, коэффициентом смещения и технологией изготовления (шлифование, полирование)
Полная высота зуба в нормальном (нарезанном без смещения) зубчатом колесе равна 9 мм. Чему равен модуль?
2 мм
2,5 мм
3 мм
4 мм
Для каких целей нельзя применить зубчатую передачу?
Передача вращательного движения с одного вала на другой
Дискретное изменение частоты вращения одного вала по сравнению с другим
Бесступенчатое изменение частоты вращения одного вала по сравнению с другим
Превращение вращательного движения вала в поступательное
Расчеты показали, что во фрикционной передаче с точечным контактом рабочих тел допускаемые контактные напряжения могут быть увеличены вдвое. Во сколько раз увеличится нагрузочная способность передачи?
√2≈ 1,25
√2≈ 1,41
4
8
Как обычно в червячных передачах передается движение?
От червяка к колесу
От колеса к червяку
И от колеса к червяку и наоборот
Зависит от типа передачи (с цилиндрическим червяком, с глобоидальным червяком)
С какой начальной скоростью двигался автомобиль массой m = 2 тонны, если под действием тормозящей силы F = 2 кН он останавливается, пройдя расстояние 50 м.? Все величины выражены в СИ.
10
15
20
25
Какая характеристика плоского ремня не регламентируется стандартом?
Длина
Ширина
Толщина
Отношение толщины к диаметру меньшего шкива
Можно ли при неизменной передаваемой мощности с помощью зубчатой передачи получить больший крутящий момент?
Нельзя
Можно, уменьшая частоту вращения ведомого вала
Можно, увеличивая частоту вращения ведомого вала
Можно, но с частотой вращения валов это не связано
Под действием постоянной силы F = 50 Н тело массой m=100 кг увеличило за 10 секунд свою скорость до 54 км/час. Чему была первоначальная скорость тела? Все величины выражены в СИ.
10
13
17
52Показать/скрыть дополнительное описание
Техническая механика.ти ЭБС Аннотация Тема 1. Теоретическая механика Тема 2. Сопротивление материалов Тема 3. Детали узлов и машин Литература Укажите передаточные механизмы, в которых фрикционные передачи получили наибольшее распространение. Редукторы Мультипликаторы Вариаторы Коробки скоростей Чугунная труба с наружным диаметром 25 см и толщиной стенки 1 см лежит на двух опорах, расположенных на взаимном расстоянии 12 м, и наполнена водой. Каковы наибольшие нормальные напряжения в трубе, если удельный вес чугуна 7,8 г/см3? 132 кг/см2 354 кг/см2 412 кг/см2 653 кг/см2 Балка пролетом 2 м свободно лежит на двух опорах, имеет прямоугольное сечение шириной 6 см и высотой 10 см.
Она нагружена сосредоточенной силой 0,5 т, приложенной посредине пролета, и сосредоточенной силой 1 т, приложенной на расстоянии 0,33 м от правой опоры. Определить нормальное напряжение в точке поперечного сечения, отстоящего на 0,33 м от левой опоры. Точка находится на расстоянии 2 см от верхней грани балки. Силы направлены сверху вниз. 52 кг/см2 83 кг/см2 125 кг/см2 213 кг/см2 Для определения мощности, передаваемой валом, замерялись при помощи тензометра удлинения по линии, расположенной под углом 45° к наружной образующей вала. Замеренное относительное удлинение оказалось равным ε = 0,000425. Наружный диаметр вала равен 40 см, а внутренний 24 см. Модуль упругости G = 8•105кг/см2.
Чему равна мощность, передаваемая валом, если он вращается со скоростью 120 об/мин? 12500 л.с. 15300 л.с. 18200 л.с. 25100 л.с. К тросу диаметром d = 10 мм подвешена клеть шахтного подъемника весом 100 кг. Длина троса, нагруженного лишь весом самой клети, равна 100 м; его длина, когда клеть загружена еще 400 кг руды, на 3 см больше. Определить модуль упругости троса. 3,2×10^5 кг/см^2 1,7×10^6 кг/см^2 4,4×10^6 кг/см^2 2,5×10^7 кг/см^2 Какие втулочные цепи выпускаются в настоящее время? Однорядные Однорядные и двухрядные Однорядные и многорядные Только многорядные Определить наружный диаметр полого стального вала, передающего мощность 9600 л.с. при частоте вращения 110 об/мин, если допускаемое касательное напряжение равно 560 кг/см2, а внутренний диаметр составляет 0,6 от внешнего.
16,4 см 21,3 см 40,2 см 53,2 см Сосновая стойка сечением 20х20 см опирается на дубовую подушку, как указано на рисунке. Допускаемое напряжение на смятие для сосны вдоль волокон равно 100 кг/см2, а для дуба поперек волокон 30 кг/см2. Определить предельную нагрузку на стойку. 200 кг 670 кг 2 т 12 т Атомная подводная лодка проекта 941 «Акула» с подводным водоизмещением 48 тысяч тонн находится на глубине 200 м. Чему равна работа силы Архимеда, совершаемая при всплытии лодки на поверхность? Ответы выражены в ГДж=109 Дж. 9,41 94,1 941 9408 Две материальные точки с массами m1=2 кг и m2=1 кг соединены тонким невесомым стержнем длиной l = 30 см. Чему равен JC –полярный момент инерции такой системы относительно его центра масс? Все величины выражены в системе СИ.
0,02 0,03 0,04 0,06 К чему приводит износ цепи? К разрушению валиков К разрушению втулок. К разрушению пластин. К нарушению зацепления цепи со звездочками (соскакивание цепи) Медный стержень диаметром 40 мм вставлен с очень малым зазором в стальную трубку с наружным диаметром 60 мм. На обоих концах стержень скреплен с трубкой жесткими шпильками диаметром 20 мм, проходящими через стержень и обе стенки трубки перпендикулярно к их оси. Определить касательные напряжения в шпильках, если температура всей конструкции повысилась на 40° С. При определении усилия деформацию шпильки не учитывать. 125 кг/см2 229 кг/см2 365 кг/см2 651 кг/см2 При вертикальном подъеме груза массой m = 4 кг на высоту h = 2 м.
была совершена работа 88 Дж. Чему равно ускорение, с которым двигался груз? Все величины выражены в системе СИ. 1,2 4,9 9,8 11,0 Стальной стержень круглого поперечного сечения (d = 32 мм и длины l = 35 см) был растянут на испытательной машине усилием 13,5 т. Было замерено уменьшение диаметра, равное 0,0062 мм, и на длине 5 см удлинение, равное 0,040 мм. Чему равен модуль упругости? 2,1•10^6 кг/см2 4,7•10^6 кг/см2 1,4•10^7 кг/см2 3,1•10^7 кг/см2 Чугунная колонна высотой 3 м кольцевого поперечного сечения имеет наружный диаметр 25 см и толщину стенки 25 мм. Каково относительное сжатие колонны при нагрузке 50 тонн. 3,21•10^-3 1,24•10^-2 г 2,36•10^-4 6,32•10^-5 В машиностроении приходится создавать передачи между осями: 1) параллельными; 2) пересекающимися под некоторым углом; 3) пересекающимися под прямым углом; 4) скрещивающимися.
В каком случае применение фрикционных передач практически невозможно? Параллельными пересекающимися под некоторым углом пересекающимися под прямым углом скрещивающимися Чему равен момент инерции однородного прямого цилиндра массой m=3 кг, высотой H=20 см и радиусом основания R= 20 см относительно оси, проходящей через центр круга в его нижнем основании перпендикулярно высоте цилиндра? Все величины выражены в системе СИ. 0,04 0,07 0,08 0,14 Балка длиной 6 м лежит на двух опорах, расположенных на взаимном расстоянии 4,5 м; причем правый конец балки свешивается на 0,5 м. Погонный метр балки весит 66 кг кроме того, на расстоянии 2,25 м от левой опоры балка нагружена сосредоточенной силой 1 т.
Определить величину нагрузки, которую нужно приложить к концу левой консоли для того, чтобы изгибающий момент в сечении, где приложена сила 1 т, был бы равен нулю. Определить опорные реакции при этих условиях. 2540 кг 3210 кг 4130 кг 5820 кг К какому виду механических передач относятся цепные передачи? Трением с промежуточной гибкой связью. Зацеплением с промежуточной гибкой связью. Трением с непосредственным касанием рабочих тел. Зацеплением с непосредственным касанием рабочих тел Механизм имеет несколько последовательных передач; при вращении ведущего вала со скоростью 1000 об/мин ведомый вращается со скоростью 80 об/мин. Как правильно назвать этот механизм? Коробка скоростей Вариатор Мультипликатор Редуктор Полый вал, соединяющий турбину и генератор в гидротехнической установке, имеет наружный диаметр 40 см и внутренний диаметр 22,5 см.
Скорость вращения 120 об/мин. Чему равны наибольшие касательные напряжения при передаче валом 10000 л.с.? 270 кг/см2 480 кг/см2 530 кг/см2 750 кг/см2 Стальной вал длиной 2 м и диаметром 5 см при нагружении его крутящим моментом 400 кгм закручивается на угол 9,2°. Предел пропорциональности для касательных напряжений равен 1700 кг/см2. Определить величину модуля упругости при сдвиге. 3,2•10^5 кг/см2 8,1•10^5 кг/см2 1,4•10^6 кг/см2 5,6•10^6 кг/см2 Чугунная колонна высотой 3 м кольцевого поперечного сечения имеет наружный диаметр 25 см и толщину стенки 25 мм. Каково абсолютное укорочение колонны при нагрузке 50 тонн. 1,5 мм 2,34 см 0,25 м 0,71 мм Велосипедное колесо вращается с частотой n=5 оборотов в секунду.
Под действием сил трения оно остановилось через интервал времени Δt = 1 мин. Чему равен модуль углового ускорения колеса ε? Все величины выражены в системе СИ. 50,083 0,262 0,523 Чему равен момент инерции тонкой однородной сферы массой m=3 кг и радиуса R= 20 см относительно оси, касающейся поверхности сферы в одной из ее точек? Все величины выражены в системе СИ. 0,08 0,12 0,20 0,24 Каким минимальным значением ограничивают угол захвата ремнем меньшего шкива в плоскоременных передачах? 90° 120° 150° 170° Определить наименьший диаметр стального вала, передающего 18 л.с. при 120 об/мин, если допускаемый угол закручивания равен 1° на длине, равной 15 диаметрам вала.
4,9 см 9,8 см 13,7 см 16,4 см Чтобы уменьшить вес сплошного круглого вала на 20% его заменили полым, наружный диаметр которого в два раза больше внутреннего. Чему будут равны наибольшие касательные напряжения в полом вале, если в сплошном они были равны 600 кг/см2? 150 кг/см2 300 кг/см2 460 кг/см2 580 кг/см2 Во фрикционной передаче с коническими катками между пересекающимися осями. Внешнюю прижимающую катки силу как следует прикладывать? Вдоль осей катков Перпендикулярно осям катков Вдоль линии соприкосновения катков Перпендикулярно линии соприкосновения катков Чтобы зубчатые колеса могли быть введены в зацепление, что у них должно быть одинаковым? Диаметры Ширина Число зубьев Шаг Стержень из малоуглеродистой стали шириной 30 см и толщиной 15 мм ослаблен заклепочным отверстием диаметром 23 мм, расположенным на оси стержня.
Какое растягивающее усилие этот стержень может выдержать, если допускаемое напряжение равно 900 кг/см^2. 250 кг 560 кг 2,5 т 37,4 т Разрывающее усилие P приложено к плоскому деревянному образцу сечением 2x4 см2 (см. рисунок) . Предел прочности на растяжение для дерева равен 560 кг/см2? Чему при этом равно скалывающее напряжение в головках этого образца? 22 кг/см2 48 кг/см2 56 кг/см2 72 кг/см2 Балка прямоугольного поперечного сечения пролетом l =4 м, свободно лежащая на двух опорах, загружена сплошной равномерно распределенной нагрузкой q = 4 т/м. Найти величину наибольших касательных напряжений в сечении посредине пролета балки, если размеры сечения 10x20 см2.
100 кг/см2 300 кг/см2 600 кг/см2 900 кг/см2 Из отмеченных недостатков фрикционных передач: (смотри варианты). Какой пункт записан ошибочно? большие нагрузки на валы и подшипники необходимость в специальных прижимных устройствах равномерность вращения передаточное число u = var Какую наибольшую нагрузку может выдержать деревянный столб сечением 16x16 см при сжимающем напряжении не более 100 кг/см2. 25600 кг 32300 кг 15600 кг 8900 кг В каком случае можно применить червячную передачу? Оси валов параллельны. Пересекаются под некоторым углом Пересекаются под прямым углом Скрещиваются под прямым углом Чугунная колонна высотой 3 м кольцевого поперечного сечения имеет наружный диаметр 25 см и толщину стенки 25 мм.
Каково напряжения в поперечном сечении колонны при нагрузке 50 тонн. 15 кг/см2 283 кг/см2 790 кг/см2 8,3 кг/см2 Три материальные точки с одинаковыми массами m1=m2=m3=3 кг лежат в одной плоскости в вершинах правильного треугольника со стороной a=20 см. Чему равен J–полярный момент инерции такой системы относительно точки, ра....
Список вопросов
А.

B.


E. ферродинамический механизм логометрического типа
F. электромагнитный механизм логометрического типа
A.












Эти вопросы в других коллекциях
Характеристики ответов (шпаргалок) к экзамену

