Для студентов по предмету СтатистикаСлучайная величина Х задана функцией распределения F(x): Требуется: 1) найти плотность распределения вероятностей f(x); 2) схематично построить графикСлучайная величина Х задана функцией распределения F(x): Требуется: 1) найти плотность распределения вероятностей f(x); 2) схематично построить график
5,00518018
2022-04-082022-04-08СтудИзба
Случайная величина Х задана функцией распределения F(x): Требуется: 1) найти плотность распределения вероятностей f(x); 2) схематично построить графики функций f(x) и F(x); 3) найти математическое ожидание, дисперсию и среднеквадратическое отклонение
Описание
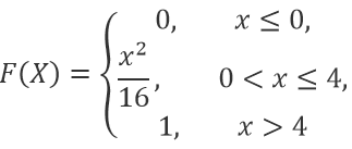
Случайная величина Х задана функцией распределения F(x):
Требуется: 1) найти плотность распределения вероятностей f(x); 2) схематично построить графики функций f(x) и F(x); 3) найти математическое ожидание, дисперсию и среднеквадратическое отклонение случайной величины Х; 4) найти вероятность того, что Х примет значение из интервала [a;β], если a=2, β=4.
Характеристики решённой задачи
Предмет
Просмотров
1
Качество
Идеальное компьютерное
Размер
53,7 Kb
Список файлов
Задача.docx
