Для студентов ИДДО НИУ «МЭИ» по предмету Статистические методы в инженерных исследованияхКурс Статистические методы в инженерных исследованиях - КМ-2. Непрерывные и дискретные случайные величины. ТестированиеКурс Статистические методы в инженерных исследованиях - КМ-2. Непрерывные и дискретные случайные величины. Тестирование
4,99521906
2025-05-112025-05-11СтудИзба
💼 База ответов к тесту КМ-2. Непрерывные и дискретные случайные величины (Курс Статистические методы в инженерных исследованиях) 📊
Ответы к заданиям КМ-2: Курс Статистические методы в инженерных исследованиях - КМ-2. Непрерывные и дискретные случайные величины. Тестирование
Описание
Курс Статистические методы в инженерных исследованиях - КМ-2. Непрерывные и дискретные случайные величины. Тестирование
🔴 Другие тесты | Отдельные ответы по предмету | Помощь со сдачей ⬅️
➡️Любой предмет | Любой тест | Любая практика | ВКР (Диплом)⬅️
🗝️ ▶Помощь с сессией/долгами под ключ ◀ 🗝️
🔴 Другие тесты | Отдельные ответы по предмету | Помощь со сдачей ⬅️

🗝️ ▶Помощь с сессией/долгами под ключ ◀ 🗝️
Список вопросов
Выберете рисунок, изображающий график функции закона распределения случайной величины в интегральной форме:
![]()

Равномерный закон распределения случайной величины y на отрезке [θ1,θ2]: аналитический вид плотности распределения:

Выберите все способы задания закона распределения случайной величины:
Случайная величина Х распределена нормально с М(Х)=0 и 8 (Х)=5. Вероятность попадания Х в интервал (0; 3) равна 0.23. Найти вероятности попадания в интервал (-3; 0).
Найти: М[Х] и Mod[X] для случайной величины X~E(2)
Найти: M[X] и Med[X] для случайной величины, равномерно распределенной на интервале (1; 10).
Случайная величина задана плотностью распределения вероятностей f(x)= -0.75*x- - 6*х - 11.25, XI[-5; -3]. Найти M(X), Med(X), Mod(X) и вероятность P[-5<Х<4].
Выберете из списка основные свойства функции закона распределения случайной величины в интегральной форме:
Выберете рисунок, изображающий график функции закона распределения случайной величины в дифференциальной форме:
![]()

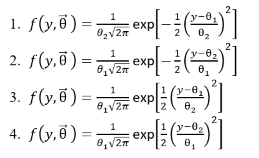
Нормальный закон распределения случайной величины у: аналитический вид плотности распределения при векторе 0=(0,,02)где 0, отвечает за сдвиг функции, а 02 за её форму:
![]()

Эти вопросы в других коллекциях
Характеристики ответов (шпаргалок) к заданиям
Тип
Коллекция: Ответы (шпаргалки) к заданиям
Учебное заведение
Номер задания
Теги
Просмотров
3
Качество
Идеальное компьютерное
Количество вопросов

Гарантия сдачи без лишних хлопот! ✅🎓 Ответы на тесты по любым дисциплинам, базы вопросов, работы и услуги для Синергии, МЭИ и других вузов – всё уже готово! 🚀 🎯📚 Гарантия качества – или возврат денег! 💰✅