Для студентов МФПУ «Синергия» по предмету Статистические методы обработки данныхСтатистические методы обработки данных (Темы 1-13)Статистические методы обработки данных (Темы 1-13)
5,0056
2025-03-122025-03-12СтудИзба
Статистические методы обработки данных Синергия Ответы на тесты 1-13, итоговый тест, компетентностный
Ответы к экзамену 1-13, итог, комп: Статистические методы обработки данных (Темы 1-13)
-22%
Описание
Представлены ответы на большинство вопросов по предмету "Статистические методы обработки данных" (Темы 1-13).
Результат сдачи зависит от попавшихся вопросов.
Мой итоговый набранный балл 100 из 100 (Скриншот прилагаю).
ВНИМАНИЕ! Покупайте работу, только убедившись, что ваши вопросы совпадают с представленными ниже. Для этого рекомендую сначала запустить тест и сверить хотя бы несколько вопросов.
УЧЕБНЫЕ МАТЕРИАЛЫ
СПИСОК ВОПРОСОВ:
ТЕСТ 1
Ваш друг рассказывает вам о результатах опроса, проведенного среди студентов вашего университета. Он утверждает, что средний возраст студентов составляет 25 лет. Как вы можете оценить этот вывод с точки зрения статистики?
Вся совокупность единиц, о которой нужно составить суждение, — это … совокупность
Множество единиц, которые объединены общим содержанием, — это статистическая …
Отрасль практической деятельности; статистический учет по сбору, обработке, анализу и публикации массовых цифровых данных о явлениях и процессах общественной жизни – это …
Признаки совокупности, которые не зависят от времени, то есть фиксируются на определенную дату времени, — это … признаки
Признаки совокупности, которые связаны с определяющим свойством совокупности, то есть со свойством, которое формирует множество единиц в одну совокупность, — это … признаки
Сопоставьте виды данных с их описанием:
A. Количественные
B. Категориальные
C. Порядковые
D. представлены в числовой форме и могут быть подвергнуты математическому анализу
E. представлены в виде категорий или меток без какого-либо специфического порядка
F. можно упорядочить по некоторой шкале или рангу
Упорядочите этапы статистического исследования в правильной последовательности:
1 сбор данных
2 формулировка гипотезы и цели исследования
3 анализ полученных данных
4 интерпретация результатов
Часть единиц генеральной, которые специально отобрали, чтобы по ней судить о генеральной совокупности в целом, — это … совокупность
Шкала, которая классифицирует значения атрибутивного признака по принципу «больше -меньше», — это … шкала
Шкала с перечнем градаций признака, которые отличаются по названию, — это … шкала
ТЕСТ 2
Вы замечаете, что среднее время ожидания на кассе в вашем магазине значительно увеличилось за последние несколько недель. Какое из нижеперечисленных утверждений наиболее соответствует статистическому наблюдению?
Зарегистрированные в специальных документах признаки по каждой единице совокупности – это … наблюдения
Множество единиц, которое нужно статистически исследовать, — это … статистического наблюдения
Научно организованный, планомерный и систематический процесс сбора массовых данных о разных процессах, явлениях и фактах – это статистическое …
При … наблюдении признаки наблюдают по части единиц совокупности с целью охарактеризовать свойства общей совокупности
При … наблюдении регистрируют признаки по всем единицам статистической совокупности, которую изучают
Сопоставьте характеристики статистического наблюдения с их определениями:
A. Планомерность
B. Массовость
С. Систематичность
D. наблюдение, проводимое по заранее разработанному плану, охватывающему все аспекты сбора статистической информации
E. охват большого числа случаев проявления явления или процесса
F. проведение наблюдения систематически, непрерывно или регулярно, а не стихийно
Упорядочите этапы статистического наблюдения в верном порядке:
1 подготовительный
2 непосредственное наблюдение
3 проверка результатов наблюдения
Физическое или юридическое лицо, которое наблюдение проводит, – это … наблюдения
Элемент совокупности, от которого получают сведения о единице наблюдения – это единица …
Элемент статистической совокупности, носитель свойств и признаков, которые нужно регистрировать – это … наблюдения
ТЕСТ 3
… отбор используется в том случае, когда в генеральной совокупности различия единиц по изучаемому признаку носят количественный характер, при этом единицы наблюдения или объективно располагаются в каком-либо порядке во времени или в пространстве или есть возможность это сделать
Вы проводите исследование средней оценки студентов в вашем университете по предмету математики. Вы берете опросную выборку из 50 студентов первого курса. Какое из нижеприведенных утверждений наиболее точно описывает выборочное наблюдение в этом случае?
Выборочная оценка является … , если она имеет минимальную дисперсию по сравнению с другими оценками
Выборочная оценка является … , если с увеличением численности выборки оценка все больше и больше приближается к оцениваемому параметру, то есть при n → N разность между оценкой и оцениваемым параметром может быть сколь угодно малой
Выборочная совокупность – это специально отобранная часть … совокупности
Исходная статистическая совокупность, по которой на основе выборки должны быть получены статистические характеристики, — это … совокупность
Постоянное завышение или занижение значения оценки по сравнению с характеристикой генеральной совокупности – это … ошибки
Сопоставьте виды отборов и характеристики:
A. Случайный отбор
B. Механический отбор
C. Типический отбор
D. используется в том случае, когда в генеральной совокупности различия единиц по величине изучаемого признака носят количественный характер, предварительное расположение единиц генеральной совокупности в каком-либо порядке невозможно или нецелесообразно
E. используется в том случае, когда в генеральной совокупности различия единиц по изучаемому признаку носят количественный характер, при этом единицы наблюдения или объективно располагаются в каком-либо порядке во времени или в пространстве или есть возможность это сделать
F. целесообразно использовать в том случае, если в генеральной совокупности объективно существуют качественно своеобразные группы единиц
Специально организованное наблюдение за частью единиц исходной совокупности с целью получения полных и объективных данных о всей совокупности – это … наблюдение
Статистическая характеристика (средняя, доля, дисперсия и т.д.) выборочной совокупности, на основе которой делается заключение относительно той или иной статистической характеристики генеральной совокупности – это статистическая …
Упорядочите этапы процесса выборочного наблюдения в правильной последовательности:
1 определение критериев для отбора выборки
2 оценка характеристик генеральной совокупности
3 определение цели исследования
4 осуществление наблюдения или сбора данных
ТЕСТ 4
Вы составляете статистическую сводку о продажах в вашем магазине за последний месяц. У вас есть данные о продажах различных товаров, но количество позиций слишком велико, чтобы представить их всех отдельно. Какой метод группировки данных наиболее подходит для составления сводки?
Метод разделения единиц статистической совокупности на группы по признакам – это …
Незаполненная цифрами таблица – это …
Определенная комбинация горизонтальных и вертикальных линий – это … статистической таблицы
Разделение множества объектов технико-экономической информации на подмножества по их сходству и различию – это …
Разность между наибольшим и наименьшим значениями признаков в каждой группе – это …
Система статистических показателей, которая изображена особым способом: содержание и формы показателей указывают в наименовании граф (столбцов) и строк, а величины показателей дают цифрами на пересечении соответствующих граф и строк, — это …
Совокупность единиц, которые качественно отличаются от других единиц совокупности по ряду свойств, — это …
Сопоставьте термины статистической сводки с их определениями:
A. Мода
B. Медиана
С. Среднее значение
D. самое частое значение в наборе данных
E. значение, которое разделяет набор данных на две равные части
F. среднее арифметическое всех значений в наборе данных
Статистическая совокупность, о которой идет речь в таблице, т.е. перечень отдельных единиц совокупности либо их группы, — это … таблицы
Упорядочите этапы проведения сводки в правильном порядке:
1 подготовительный
2 непосредственное проведение работ по сводке
3 анализ полученных показателей
ТЕСТ 5
Вы анализируете данные о продажах вашей компании за последний квартал. Вам нужно представить общую картину о продажах. Какой из нижеперечисленных статистических показателей наиболее подходит для этого?
Отношение показателей части единиц совокупности, обладающих специфическими свойствами, к показателю по всей численности единиц, — это показатели …
Показатели, которые отражают черты состояния, развития экономики и взаимосвязи экономических признаков, — это … показатели
Показатели, которые формируются как обобщение индивидуальных значений признака по всей совокупности единиц и по группам по сложной сводке, — это … показатели
Показатели, которые характеризуют социальную жизнь общества: демографию населения, условия, факторы, уровень и качество жизни, — это … показатели
Показатели на мировом уровне, по национальной экономике в целом, по федеральным округам и субъектам экономики, по секторам и видам экономической деятельности, крупным экономическим комплексам и зонам — это … показатели
Показатели на муниципальном и районном уровне, по отдельным группам лиц, групп организаций – это … показатели
Показатель, получаемый как результат деления абсолютных величин, — это … показатель
Расположите статистические показатели по убыванию степени изменчивости:
1 размах
2 среднеквадратическое отклонение
3 медиана
4 среднее арифметическое
Сопоставьте статистический показатель с его определением:
A. Среднее арифметическое
B. Медиана
C. Дисперсия
D. показатель, который равен сумме всех значений, разделенной на их количество
E. значение, которое делит упорядоченный набор данных пополам
F. мера разброса данных относительно среднего значения
Статистические … как результат статистической сводки представляют собой количественную характеристику социально – экономических явлений и процессов в условиях качественной определенности
ТЕСТ 6
Вы исследуете количество времени, проведенного студентами на учебе в течение недели. Вы хотите определить, насколько разнообразно студенты распределяют свое время между учебой и другими активностями. Какая мера вариации наилучшим образом отразит эту информацию?
Коэффициент … представляет собой отношение размаха вариации к среднему значению признака
Основным относительным показателем вариации является … коэффициент вариации V, рассчитываемый как отношение среднего квадратического отклонения к среднему значению признака
Разность максимального и минимального значений признака и показывает максимальную изменчивость признака в совокупности — это …вариации – R= Хmax - Xmin
Сопоставьте меру вариации с соответствующим ей определением:
A. Дисперсия
В. Интерквартильный размах
C. Среднее абсолютное отклонение
D. мера разброса данных, равная квадрату среднеквадратического отклонения
E. разница между верхним и нижним квартилями
F. средняя абсолютная разница между каждым значением и средним
Среднее отклонение индивидуальных значений признака от средней арифметической признака характеризует …
Средний квадрат отклонений индивидуальных значений признака от средней арифметической признака – это …
Среднюю колеблемость признака в изучаемой совокупности и представляет собой среднюю арифметическую величину отклонений индивидуальных значений признака (xi) от средней арифметической (x) характеризует … линейное отклонение -L
Сумма квадратов отклонений значений признаков от средней величины – это … вариации-W
Упорядочите меры вариации по возрастанию их чувствительности к выбросам:
1 интерквартильный размах
2 среднее абсолютное отклонение
3 дисперсия
Формула … вариации равна W=Σ(xi – x)² для невзвешенных данных
ТЕСТ 7
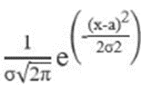
… распределение имеет формулу
, где а - математическое ожидание, σ - среднее квадратическое отклонение
Вы исследуете средний уровень удовлетворенности клиентов вашей компании. После анализа данных вы получили среднее значение удовлетворенности равное 4.2 на шкале от 1 до 5, с стандартным отклонением 0.8. Какой интервал оценки на уровне доверия 95% содержит среднюю удовлетворенность клиентов?
Выборочный … момент порядка l рассчитывают по формуле µ₁ = 1/𝑛 ∑(𝑥𝑖 – 𝑥)¹
Выборочный … момент порядка l рассчитывают по формуле m₁ = 1/𝑛 ∑𝑥𝑖¹
Если выборочное распределение близко к нормальному, то в не слишком маленькой выборке величина коэффициента вариации Vx должна быть не более …%
Если выборочное распределение близко к нормальному, то оценка эксцесса Ex и коэффициента асимметрии Ax должны быть близки к …
Коэффициент … рассчитывают по формуле
На рисунке (см. ниже) изображено несколько случаев различной асимметрии: 1 – кривая с … асимметрией
На рисунке (см. ниже) изображено несколько случаев различной асимметрии: 2 - кривая с … асимметрией
Расположите этапы для построения интервальной оценки среднего значения выборки в правильной последовательности:
1 расчет доверительного интервала
2 интерпретация результата
3 выбор уровня доверия
Сопоставьте этапы построения интервальной оценки с их описанием:
A. Выбор уровня доверия
B. Расчет доверительного интервала
C. Интерпретация результата
D. определяется доля вероятности, с которой интервал будет содержать истинное значение параметра
E. включает в себя математические вычисления для определения диапазона значений параметра
F. результаты интервальной оценки анализируются и интерпретируются с учетом выбранного уровня доверия
ТЕСТ 8
Вероятность не отвергнуть верную нулевую гипотезу – это уровень …
Вероятность не отвергнуть неверную нулевую гипотезу (β) – это ошибка …рода
Вероятность отвергнуть верную нулевую гипотезу (α) – это ошибка …рода
Вероятность отвергнуть верную нулевую гипотезу – это уровень … (α)
Вероятность отвергнуть неверную нулевую гипотезу (1 − β) – это … критерия
Вы исследуете эффективность нового метода обучения в вашей школе. Ваша гипотеза заключается в том, что новый метод приведет к улучшению успеваемости учащихся. Какое утверждение наиболее точно описывает альтернативную гипотезу в этом случае?
Предположение о свойствах и характеристиках исследуемых генеральных совокупностей — это статистическая …
Расставьте этапы статистического исследования в правильном порядке:
1 сбор первичного статистического материала, проверка его полноты и достоверности
2 предварительная обработка данных
3 расчет и интерпретация обобщающих статистических показателей
4 моделирование взаимосвязей между социально-экономическими процессами и явлениями
Сопоставьте тип ошибки при проверке статистической гипотезы с его описанием:
A. Ошибка первого рода
B. Ошибка второго рода
C. Уровень значимости
D. происходит, когда нулевая гипотеза отвергается, когда она на самом деле верна
E. происходит, когда нулевая гипотеза принимается, когда она на самом деле неверна
F. используется для определения критической области для принятия решения относительно нулевой гипотезы
Утверждение о параметре генеральной совокупности или распределении, которое необходимо проверить, – это …
Утверждение, противоположное нулевой гипотезе, — это …
ТЕСТ 9
Вы исследуете связь между количеством часов, проведенных студентами на подготовку к экзамену, и их итоговыми баллами. Какое из нижеприведенных утверждений наиболее точно описывает результаты корреляционного анализа?
К условиям проведения корреляционного анализа относится тот факт, что данные по признакам должны иметь … размерность и методологию расчета
К условиям проведения корреляционного анализа относится тот факт, что признаки, между которыми исследуется взаимосвязь, должны иметь … выражение
К условиям проведения корреляционного анализа относится тот факт, что совокупность должна быть … по составу единиц и существенна по их количеству
Корреляция, равная … , указывает на идеальную взаимосвязь в виде прямой линии
Корреляция, равная … , указывает на отрицательную идеальную взаимосвязь в виде прямой линии
На рис. (см. ниже) показана диаграмма …
Расположите типы корреляции по степени силы взаимосвязи от наименьшей к наибольшей:
1 корреляция Спирмена
2 корреляция Кендалла
3 корреляция Пирсона
Сопоставьте тип корреляции с его описанием:
A. Корреляция Пирсона
B. Корреляция Спирмена
C. Корреляция Кендалла
D. используется для измерения степени монотонной взаимосвязи между двумя переменными, не требует нормального распределения данных
E. используется для измерения силы и направления линейной взаимосвязи между двумя количественными переменными
F. используется для измерения степени согласованности рангов двух переменных
Тесноту и направление связи между двумя признаками при наличии между ними линейной зависимости характеризует … коэффициент корреляции r
Число, которое говорит, что большим значениям одного фактора соответствуют большие значения другого или наоборот, — это …
ТЕСТ 10
… распределение характеризует такие случайные величины, на которые воздействует большое количество разнообразных факторов (ошибки, возникающие при измерениях, отклонения при стрельбе)
Вы исследуете разницу в среднем времени реакции на тест между двумя группами студентов: группой, которая получала специальное обучение, и группой, которая не получала. Какой из следующих статистических критериев наиболее подходит для оценки различий между этими двумя группами?
Количество возможных направлений изменчивости признака – это число степеней …
Критерий … применяют для оценки различий экспериментальных данных, которые получены в двух разных условиях на одной и той же выборке испытуемых
Критерий различия называют … , если он основан на конкретном типе распределения генеральной совокупности (как правило, нормальном) или использует параметры этой совокупности (средние, дисперсии и т.д.) в формуле расчета
Наблюдаемое значение, характеризующее данную конкретную экспериментальную ситуацию; конечный результат расчетов, осуществленный с помощью того или иного метода (критерия) математической статистики, — это … значение критерия
Норматив, эталон, на который необходимо равняться, оценивая по нему свое индивидуальное поведение, — это …
Решающее правило, которое обеспечивает принятие истинной и отклонение ложной гипотезы с высокой вероятностью, — это статистический …
Сопоставьте статистический критерий с его особенностями и условиями применения:
A. Т-критерий Стьюдента
B. Дисперсионный анализ (ANOVA)
C. U-критерий Манна-Уитни
D. подходит для сравнения средних значений двух независимых выборок с нормальным распределением и равных дисперсий
E. позволяет сравнивать средние значения в более чем двух группах
F. непараметрический критерий, используемый для сравнения медиан двух независимых выборок
Установите правильную последовательность этапов проведения исследования:
1 определить, является ли выборка связной или несвязной
2 определить однородность–неоднородность выборки
3 оценить объем выборки и выбрать критерий
4 выбрать наименее трудоемкий критерий
5 применить более мощный и трудоемкий критерий
6 выбрать критерии, которые наиболее полно используют информацию
7 при малом объеме выборки следует увеличивать величину уровня значимости
Установление общего направления сдвига исследуемого признака – это назначение …
ТЕСТ 11
Вероятность совершить ошибку первого рода, то есть отвергнуть верную нулевую гипотезу (обычно выбирается на уровне 0.05 или 0.01) – это уровень …
Вы исследуете влияние новой методики обучения на успеваемость студентов. Для этого вы тестируете их знания до и после применения новой методики. Какой статистический критерий следует использовать для сравнения результатов до и после внедрения новой методики?
Критерий проверки гипотезы о том, что в определенной генеральной совокупности среднее можно считать равным μ (одновыборочный критерий), или же что средние двух генеральных совокупностей равны между собой (двухвыборочный критерий) и при этом не получить существенных противоречий с данными – это …
Критерий различия называют … , если он не базируется на предположении о типе распределения генеральной совокупности и не использует параметры этой совокупности
Критерий различия называют … , если он основан на конкретном типе распределения генеральной совокупности
Непараметрическим критерием для независимых выборок является критерий …
Общая вариация индивидуальных значений в каждой группе и их групповое среднее значение – это … вариация
Общая вариация между средним значением каждой группы и общим средним значением – это … вариация
Расставьте шаги для проведения t-критерия для зависимых выборок в правильной последовательности:
1 выбор уровня значимости
2 проверка предположений о нормальности распределения разностей
3 выбор альтернативной гипотезы
4 расчет t-статистики
5 проведение теста
Сопоставьте шаги проведения парного t-теста с их описанием:
A. Выбор уровня значимости
B. Расчет t-статистики
C. Проверка предположений о нормальности распределения разностей
D. этап, на котором определяется пороговое значение, ниже которого различия считаются статистически значимыми
E. шаг, включающий расчет статистической меры, основанной на отклонениях средних значений и их стандартных ошибок
F. перед проведением теста необходимо убедиться, что разности между парами наблюдений имеют нормальное распределение или используются альтернативные методы анализа
Статистический критерий, используемый для сравнения … значений в двух зависимых выборках, то есть, когда одни и те же участники измеряются дважды в разных условиях или моментах времени – это парный Т-критерий Вилкоксона
ТЕСТ 12
Вы анализируете данные о потреблении продуктов в различных регионах. У вас есть информация о потреблении молока, мяса и овощей в нескольких регионах за последний год. Какой метод анализа данных подходит для определения основных факторов, влияющих на паттерны потребления в разных регионах?
Для изучения взаимосвязи одной переменной (зависимой, результирующей) и нескольких других (независимых, исходных) предназначен … регрессионный анализ
Для уменьшения размерности исходных данных с целью их экономного описания при условии минимальных потерь исходной информации предназначен … анализ
К … относятся кластерный анализ и дискриминантный анализ
К … относятся множественный регрессионный анализ и дискриминантный анализ
Переход от множества исходных переменных к существенно меньшему числу новых переменных – это …
Представление эмпирических данных в пригодных для интерпретации виде – это … функция математических методов
Причина совместной изменчивости нескольких исходных переменных – это …
Процедура упорядочивания объектов в сравнительно однородные классы на основе попарного сравнения этих объектов по предварительно определенным и измеренным критериям – это … анализ
Сопоставьте методы анализа данных с их описаниями:
A. Многомерное шкалирование
B. Главные компоненты
C. Стохастическое вложение соседей с t-распределением (T-SNE)
D. метод, используемый для визуализации данных в пространстве меньшей размерности, сохраняя при этом геометрические отношения между данными
E. техника, которая позволяет сократить размерность данных, сохраняя при этом максимальное количество их дисперсии
F. метод, позволяющий сжать информацию о высокоразмерных данных в пространство меньшей размерности с сохранением структуры и взаимного расположения объектов
Упорядочьте этапы статистического наблюдения в правильном порядке:
1 планирование и формулирование проблемы
2 сбор данных
3 обработка данных
4 анализ данных
5 интерпретация результатов
6 публикация результатов
ТЕСТ 13
… прирост характеризует размер увеличения или уменьшения уровня ряда за определенный промежуток времени
Вы анализируете ежемесячные данные о продажах вашего продукта за последние несколько лет. Вам нужно определить, есть ли явная тенденция в росте или снижении продаж со временем. Какой статистический метод наиболее подходит для анализа временных тенденций?
Периодические колебания, которые имеют определенный и постоянный период, равный годовому промежутку, — это … колебания
Представление уровней данного ряда динамики в виде функции времени: y = f(t) предполагает … выравнивание
Процентные отношения фактических внутригодовых уровней к постоянной или переменной средней – это …
Ряды динамики следующих друг за другом периодов или повторяющихся через равные промежутки дат – это … ряды
Сопоставьте методы анализа временных рядов с их описаниями:
A. Метод скользящего среднего
B. ARIMA модели (методология Бокса — Дженкинса)
С. Экспоненциальное сглаживание
D. техника, которая использует взвешенные средние прошлых значений для сглаживания временного ряда и выявления общих тенденций
E. модели, которые учитывают исторические значения временного ряда и случайную составляющую для прогнозирования будущих значений
F. метод, который присваивает различные веса последним наблюдениям, учитывая их возраст
Упорядочите этапы анализа временных данных по порядку их выполнения:
1 определение сезонности
2 построение тренда
3 выборочное сглаживание
4 оценка случайной компоненты
Уровень, с которым происходит сравнение называют …
Формула для расчета … абсолютного прироста – это Δб = Yi – Y1
Формула для расчета … абсолютного прироста – это Δц = Yi – Yi-1
ИТОГОВЫЙ ТЕСТ
… в статистике — это мера, которая показывает разброс между результатами.
… коэффициент рассчитывают по формуле k = K₄/K₁, где K-квинтили №4 и №1
… коэффициент рассчитывают по формуле Kq = Q₃/Q₁, где Q-квартили №3 и №1
… позволяет систематизировать материал наблюдения, подготовить его к анализу и выявить, статистические закономерности изучаемых явлений и процессов
Вероятность того, что ошибка будет находиться в некотором интервале, — это вероятность …
Выборочная оценка называется … , если для ее расчета используется вся информация, содержащаяся в выборке
Высокая корреляция, которая обеспечивается действием третьего фактора, — это … корреляция
Для определения тесноты связи двух качественных признаков, каждый из которых состоит только из двух вариантов, применяются коэффициенты …
Для распределений симметричных относительно математического ожидания коэффициент ассиметрии Ax = …
Документ, в котором содержится программа статистического наблюдения, — это … наблюдения
Если Q- критерий выявляет достоверные различия между выборками с уровнем значимости Р≥ … , можно ограничиться только им
Если все значения признака разделить на … число А, то дисперсия от этого преобразования уменьшится в квадрат постоянного числа А
Если все значения признака уменьшить на постоянное число А, то дисперсия от этого преобразования …
Если все частоты встречаемости (статистические веса) разделить на постоянное число А, то дисперсия от этого преобразования …
Если выборочное распределение близко к нормальному, то …
Если мода, медиана и среднее арифметическое равны, то ряд имеет … распределение
Значение статистики, которое получают по выборке, на основе имеющихся данных, — это … значение статистики
Когда в генеральной совокупности отсутствуют качественные различия между единицами используется … отбор
Комплекс статистических работ с применением статистических методов анализа по формированию статистических показателей – это статистическое …
Коэффициент ассоциации принимает значения в интервале …
Коэффициент находят по формуле … , которая равна Ka = (n₁₁n₂₂ – n₁₂n₂₁)/(n₁₁n₂₂ + n₁₂n₂₁)
Критерий … используют для оценки различий между двумя выборками по уровню какого-либо признака, количественно измеренного
Критерий … применяется для сопоставления показателей, измеренных в трех и более условиях на одной и той же выборке испытуемых
Критерий различия называют … , если он не базируется на предположении о типе распределения генеральной совокупности и не использует параметры этой совокупности
Критерий согласия … предназначен для проверки гипотезы о принадлежности выборки некоторому закону распределения, то есть проверки того, что эмпирическое распределение соответствует предполагаемой модели
Массовый, планомерный, научно организованный сбор данных о социально-экономических явлениях и процессах, заключающийся в регистрации отобранных признаков у каждой единицы изучаемой совокупности, – это … наблюдение
Меняющиеся от выборки к выборке по знаку и величине различия между оценкой и оцениваемой характеристикой генеральной совокупности – это … ошибки
Мера силы и направления связи между двумя переменными в зависимых выборках, оцененная с использованием методов анализа дисперсии, — это … взаимосвязь
Метод … основан на укрупнении периодов времени, к которым относятся уровни
На рисунке (см. ниже) изображено несколько случаев различной асимметрии. Третья кривая – кривая … распределения
Наблюдение за отдельной единицей совокупности, которая обладает типическими чертами совокупности, — это … наблюдение
Область не отвержения нулевой гипотезы – это область … значений
Обобщающая характеристика массового общественного явления в его количественной, качественной, временной и пространственной определенностях – это статистический …
Отношение уровня планового задания к фактическому уровню предшествующего периода — это показатели …
Оценка является … , если ее математическое ожидание равно значению параметра в генеральной совокупности
Ошибка одной проведенной выборки – это … ошибка
Перечень показателей и группировок, которые следует получить или опубликовать в результате сводки, — это …
Перечень признаков по каждой единице совокупности, который подлежит наблюдению, — это … наблюдения
Планомерный, научно организованный сбор данных, т.е. значений признаков по единицам статистической совокупности, — это статистическое …
Пороговое значение статистики, которое ожидают в случае, если нулевая гипотеза верна, — это … значение
Последовательность изменяющихся во времени значений показателя, расположенных в хронологическом порядке, — это … динамики
Постоянный мониторинг состояния и развития наблюдаемых единиц, заключающийся в размещении и своевременной актуализации информации о них в базе данных, — это … наблюдение
Правило, которое позволяет делать вывод о том, стоит ли на основе имеющихся данных отвергать нулевую гипотезу или нет, — это статистический …
При расчете конечных показателей на основе промежуточных показателей применяют … сводку
Причиной появления … непреднамеренной ошибки является несоблюдение принципа равновероятности попадания каждой единицы генеральной совокупности в выборку, то есть выборка формируется из преимущественно «худших» (или «лучших») представителей генеральной совокупности
Разместите методы анализа данных по убыванию их использования в крупных данных из-за их вычислительной сложности:
1 кластерный анализ
2 многомерное шкалирование
3 факторный анализ
4 стохастическое вложение соседей с t-распределением (t-SNE)
Расположите критерии различий по типу данных, для которых они применяются, от наиболее универсального к наиболее специфичному:
1 дисперсионный анализ (ANOVA)
2 t-критерий Стьюдента (для независимых выборок)
3 u-критерий Манна-Уитни
Расположите меры дифференциации в порядке увеличения их способности отображать различия между значениями:
1 индекс Херфиндаля-Хиршмана (Индекс Герфиндаля)
2 коэффициент Лоренца
3 коэффициент Гини
Расположите шаги проведения корреляционного анализа в порядке их выполнения от начального к конечному:
1 подготовка данных для анализа
2 проверка предпосылок анализа
3 вычисление коэффициента корреляции
4 визуализация данных
5 интерпретация результатов
Расположите шаги проверки статистической гипотезы в правильной последовательности:
1 формулирование нулевой и альтернативной гипотез
2 выбор уровня значимости
3 расчет статистики критерия
4 принятие решения об отклонении или неотклонении нулевой гипотезы
Рассмотрите рисунок ниже. В соответствии с понятием плотности вероятностей - площадь под каждой кривой плотности вероятностей равна …
Расставьте методы анализа данных в порядке увеличения их способности к сокращению размерности данных:
1 кластерный анализ
2 факторный анализ
3 метод главных компонент
4 многомерное шкалирование
Расставьте методы моделирования временных рядов по возрастанию сложности их математического описания:
1 метод скользящего среднего
2 экспоненциальное сглаживание
3 авторегрессионные модели
4 ARIMA модели (методология Бокса — Дженкинса)
Расставьте шаги для проведения анализа разностей в парных средних в правильной последовательности:
1 подготовка таблицы средних значений
2 проверка предположений о нормальности распределения разностей
3 выбор альтернативной гипотезы
4 расчет стандартной ошибки разности средних
5 проведение теста
Расставьте шаги для проведения парного коэффициента контингентности в правильной последовательности:
1 Подготовка таблицы сопряженности
2 Подсчет суммы квадратов отклонений от ожидаемых частот
3 Расчет стандартной ошибки
4 Выбор альтернативной гипотезы
5 Проведение теста
Результат использования выборки для вычисления интервала возможных значений неизвестного параметра, оценку которого нужно построить, — это … оценка
Скалярная характеристика островершинности графика плотности вероятности унимодального распределения – это коэффициент …
Соотношение разноименных абсолютных величин, логически связанных между собой и относящихся к одной статистической совокупности, — это показатели …
Сопоставьте виды отборов и характеристики:
A. Случайный отбор
B. Механический отбор
C. Типический отбор
D. используется в том случае, когда в генеральной совокупности различия единиц по величине изучаемого признака носят количественный характер, предварительное расположение единиц генеральной совокупности в каком-либо порядке невозможно или нецелесообразно
E. используется в том случае, когда в генеральной совокупности различия единиц по изучаемому признаку носят количественный характер, при этом единицы наблюдения или объективно располагаются в каком-либо порядке во времени или в пространстве или есть возможность это сделать
F. целесообразно использовать в том случае, если в генеральной совокупности объективно существуют качественно своеобразные группы единиц
Сопоставьте виды ошибок и их характеристики:
A. Систематические ошибки
B. Случайные ошибки
C. Конкретные ошибки
D. постоянное завышение или занижение значения оценки по сравнению с характеристикой генеральной совокупности
E. меняющиеся от выборки к выборке по знаку и величине различия между оценкой и оцениваемой характеристикой генеральной совокупности
F. ошибка одной проведенной выборки
Сопоставьте значения коэффициента корреляции с их интерпретацией:
A. 0
B. 0.75
C. -0.60
D. отсутствие линейной взаимосвязи между переменными
E. сильная положительная корреляция
F. умеренная отрицательная корреляция
Сопоставьте меру дифференциации с ее описанием:
A. Индекс Херфиндаля-Хиршмана (Индекс Герфиндаля)
B. Коэффициент Гини
C. Коэффициент Лоренца
D. статистический индекс, используемый для измерения степени концентрации ресурсов в экономике
E. мера, используемая для измерения степени неравномерности распределения доходов или богатства
F. кривая, которая показывает, как распределено богатство или доход в обществе
Сопоставьте методы группировки данных с их характеристиками:
A. Интервальный метод
B. Частотный метод
C. Серийный метод
D. разделение данных на группы с одинаковым интервалом
E. определение частоты появления каждого значения данных
F. группировка данных по непрерывным интервалам, учитывая порядок значений
Сопоставьте методы с их принципами работы:
A. Многомерное шкалирование
B. Метод главных компонент
C. Стохастическое вложение соседей с t-распределением (t-SNE)
D. стремится сохранить глобальные структурные отношения между объектами в исходном пространстве в преобразованном пространстве
E. отображает высокоразмерные данные в пространство меньшей размерности, сохраняя при этом локальные структурные отношения между близкими объектами
F. минимизирует дисперсию ошибки между оригинальными и преобразованными данными, сохраняя при этом их структуру
Сопоставьте методы сбора данных с их описанием:
A. Опросы
B. Эксперименты
C. Наблюдения
D. способ получения информации путем задания вопросов и получения ответов от респондентов
E. управляемая исследовательская процедура, где условия контролируются и манипулируются для изучения эффектов
F. систематическое изучение и запись данных без вмешательства исследователя
Сопоставьте статистический критерий с его описанием:
A. Bootstrap метод
B. Коэффициент корреляции Спирмена
C. Парный коэффициент контингентности
D. метод оценки распределения статистик путем многократного выбора случайных выборок из наблюдаемых данных с заменой
E. непараметрическая статистическая мера, оценивающая силу и направление связи между двумя переменными в зависимых выборках с порядковыми данными
F. статистическая мера, используемая для оценки связи между двумя категориальными переменными в зависимых выборках
Сопоставьте статистический критерий с типом данных, для которых он применяется, и примером исследования:
A. Т-критерий Стьюдента
B. Дисперсионный анализ (ANOVA)
C. U-критерий Манна-Уитни
D. две независимые непрерывные переменные, например, сравнение среднего балла по тесту в двух разных группах
E. две или более группы независимых наблюдений с нормальным распределением данных
F. две независимые выборки с ранговыми данными или ненормальным распределением, например, сравнение медиан дохода в двух разных группах
Сопоставьте статистический критерий с уровнем данных, для которых он применяется, и условиями применения:
A. Т-критерий Стьюдента
B. Дисперсионный анализ (ANOVA)
C. U-критерий Манна-Уитни
D. непрерывные или количественные данные
E. две или более группы независимых наблюдений с ненормальным распределением данных
F. ранговые данные или ненормально распределенные данные
Сопоставьте тип ошибки при проверке статистической гипотезы с его описанием:
A. Ошибка первого рода
B. Ошибка второго рода
C. Уровень значимости
D. происходит, когда нулевая гипотеза отвергается, когда она на самом деле верна
E. происходит, когда нулевая гипотеза принимается, когда она на самом деле неверна
F. используется для определения критической области для принятия решения относительно нулевой гипотезы
Сопоставьте тип параметра с его интервальной оценкой:
A. Среднее значение
B. Стандартное отклонение
С. Медиана
D. доверительный интервал считается вокруг этого параметра, чтобы оценить, где находится среднее значение генеральной совокупности
E. интервал, который указывает на диапазон значений, в котором находится этот параметр с определенной вероятностью
F. для этого параметра иногда используется интервал, но чаще используется точечная оценка
Сопоставьте тип распределения с его интервальной оценкой:
A. Нормальное распределение
B. Биномиальное распределение
C. Равномерное распределение
D. интервальная оценка параметров этого типа распределения часто используется в статистических анализах, когда известно, что данные подчиняются этому распределению
E. для этого типа распределения часто используются точечные оценки, так как интервальная оценка может быть неэффективной из-за особенностей распределения
F. интервальная оценка для этого типа распределения может быть сложной из-за его нестандартной формы
Сопоставьте типы компонентов временных рядов с их характеристиками:
A. Тренд
B. Сезонность
C. Случайная составляющая
D. систематические изменения во времени, которые происходят в течение длительного периода
E. регулярные и повторяющиеся колебания в данных, обусловленные внешними факторами или временными циклами
F. несистематические и случайные колебания, которые не могут быть объяснены трендом или сезонностью
Сопоставьте типы статистических данных с их характеристиками:
A. Непрерывные
B. Дискретные
С. Качественные
D. данные, которые могут принимать любое значение в определенном диапазоне
E. данные, которые могут принимать только целочисленные значения
F. данные, которые описывают качество или характеристики элементов без числовых значений
Сопоставьте уровень значимости с его описанием:
A. 0.05
B. 0.01
C. 0.10
D. уровень значимости, который обычно используется при проверке статистических гипотез
E. уровень значимости, который используется, когда требуется более высокий уровень доверия
F. уровень значимости, который используется, когда требуется особенно высокий уровень доверия
Сопоставьте формы представления данных с их характеристиками:
A. Гистограммы
B. Диаграммы размаха (Box plots)
C. Таблицы
D. обеспечивает точное числовое представление данных
E. используется для наглядного отображения распределения частот
F. позволяет визуализировать разброс данных и обнаружить выбросы
Сопоставьте характеристики статистического наблюдения с их описаниями:
A. Планомерность
B. Массовость
C. Систематичность
D. проведение наблюдения непрерывно или регулярно
E. охват большого числа случаев проявления явления или процесса
F. наблюдение, проводимое по заранее разработанному плану
Сопоставьте этапы построения модели временного ряда с их последовательностью:
A. Определение тренда и сезонных колебаний
B. Выбор типа модели и ее параметров
C. Оценка точности прогноза
D. предварительный анализ данных для выявления основных компонентов временного ряда
E. проверка и настройка выбранной модели с использованием исторических данных
F. оценка эффективности построенной модели с помощью статистических метрик
Сопоставьте этапы с проведением критерия для зависимых выборок:
A. Проведение теста
B. Проверка предположений о распределении данных
C. Выбор уровня значимости
D. шаг, включающий определение порогового значения, ниже которого различия считаются статистически значимыми
E. этап, на котором осуществляется расчет статистической меры и проверка гипотезы
F. перед проведением критерия необходимо убедиться, что данные удовлетворяют предположениям о нормальности или использовать непараметрические методы
Сопоставьте этапы статистического наблюдения с их описаниями:
A. Подготовка плана наблюдения
B. Сбор данных
C. Анализ полученных данных
D. разработка методологии и определение шагов наблюдения
E. сам процесс сбора статистической информации
F. обработка и интерпретация полученных результатов
Способ получения статистической информации от юридических лиц – это …
Сравнение двух структурных рядов, один из которых показывает структуру единиц совокупности, другой- структуру объема признака, — это показатели …
Средний уровень за период, который относится к середине выбранного периода, если число уровней ряда динамики нечетное, — это … скользящей средней
Статистическая мера, которая описывает силу связи между переменными в исследовании. В случае зависимых выборок показывает, насколько различия статистически значимы. Речь идет об эффекте …
Статистические показатели интенсивности могут быть получены по совокупности путем сопоставления … статистических показателей, например, количества потребленного населением молока и численности населения, или при обобщении вторичного признака предприятий – потребление молока в расчете на 1 человека
Упорядочите значения уровня значимости от наименьшего к наибольшему:
1 0.01
2 0.05
3 0.10
Упорядочите меры вариации по возрастанию их чувствительности к выбросам:
1 интерквартильный размах
2 среднее абсолютное отклонение
3 дисперсия
Упорядочите последовательность проведения статистической группировки в правильном порядке:
1 выделяют группировочный признак
2 строят ряд распределения по группировочному признаку
3 определяют абсолютные показатели
4 производят расчет сводных данных
5 рассчитывают средние или относительные показатели
6 анализируют результаты группировки
Упорядочите ситуации, описывающие возможные результаты корреляционного анализа, от самой вероятной до наименее вероятной:
1 коэффициент корреляции близок к 1
2 коэффициент корреляции близок к -1
3 коэффициент корреляции случайно положителен
4 коэффициент корреляции случайно отрицателен
5 коэффициент корреляции равен 0
Упорядочите формы представления статистических показателей от наиболее общей к наиболее детализированной:
1 сводные отчеты
2 таблицы
3 диаграммы
4 графики
Упорядочите этапы анализа временных данных по порядку их выполнения:
1 определение сезонности
2 построение тренда
3 выборочное сглаживание
4 оценка случайной компоненты
Упорядочите этапы взятия выборки и сбора статистических данных в правильном порядке:
1 определение генеральной совокупности
2 определение критериев отбора
3 выбор метода отбора выборки
4 определение размера выборки
5 сбор данных
6 проверка данных
7 обработка данных
8 интерпретация данных
Упорядочите этапы подготовки плана статистического наблюдения в правильном порядке:
1 определение цели наблюдения
2 выбор методологии и методов наблюдения
3 разработка плана наблюдения
4 определение необходимых ресурсов
5 пилотное тестирование
6 оценка рисков и контроль качества
7 подготовка документации и обучение персонала
8 утверждение и запуск
Упорядочите этапы построения статистической модели в правильной последовательности:
1 выбор подходящей статистической модели
2 обучение модели на обучающем наборе данных
3 проверка качества модели на тестовом наборе данных
4 интерпретация результатов моделирования
Установите правильную последовательность этапов для построения интервальной оценки моды выборки:
1 выбор уровня доверия
2 расчет доверительного интервала
3 интерпретация результата
Форма относительных показателей, при которой показатель не может быть представлен через другие относительные показатели, — это … форма
Функциональный оптимум, который подразумевает протекание процессов в системе с наибольшей слаженностью, эффективностью и экономичностью, — это …
Числовые показатели, которые характеризуют изучаемую совокупность, т.е. подлежащее таблицы, — это … таблицы
Чтобы применить … для независимых выборок, требуется, по крайней мере, одна независимая (группирующая) переменная (например, Пол: мужчина/женщина) и одна зависимая переменная (например, тестовое значение некоторого показателя, кровяное давление, число лейкоцитов и т.д.)
Широкомасштабные работы по сбору статистической информации об изучаемых объектах в границах отрасли, региона или страны в целом – это …
Экстраполяцию, проводимую в прошлое, называют …
Элемент совокупности, носитель признаков, то есть ее свойств, качеств, — это … в статистической совокупности
КОМПЕТЕНТНОСТНЫЙ ТЕСТ
Ваша команда провела опрос среди клиентов, чтобы выяснить, какие функции они предпочитают в вашем продукте. Вы хотите определить, какие функции наиболее востребованы. Какой статистический показатель лучше всего отразит это?
Ваша компания решает запустить новый продукт на рынке и провести исследование, чтобы определить потенциальную целевую аудиторию. Ваша задача - использовать статистические методы для анализа данных о предпочтениях потребителей. Какой из нижеприведенных шагов является наиболее важным для успешного завершения этой задачи?
Ваша компания решила провести аудит производства для определения времени, затрачиваемого на каждый процесс. После сбора данных вы обнаружили, что время на упаковку товаров сильно варьируется от дня к дню. Как вы можете правильно интерпретировать это статистическое наблюдение?
Вы анализируете данные о доходах населения двух разных районов города. Вам интересно, насколько различаются уровни доходов в этих районах. Какая мера дифференциации поможет вам лучше понять эту разницу?
Вы анализируете данные о доходах сотрудников в вашей компании за последний год. У вас есть список всех сотрудников и их заработных плат, но количество записей слишком велико, чтобы анализировать их всех индивидуально. Какой метод статистической сводки наиболее полезен для анализа этих данных?
Вы анализируете данные о потреблении кофе и уровне стресса среди работников в вашей компании. Какое из утверждений наиболее соответствует результатам корреляционного анализа?
Вы анализируете результаты опроса о предпочтениях потребителей в отношении различных видов продуктов. У вас есть данные о предпочтениях потребителей в отношении молочных продуктов, мяса, овощей и фруктов. Какой метод анализа данных подходит для выявления схожих паттернов предпочтений среди потребителей?
Вы анализируете эффективность лекарства для лечения пациентов до и после его применения. Какой статистический критерий наиболее подходит для оценки различий в показателях здоровья пациентов до и после лечения?
Вы изучаете влияние различных факторов на производительность сотрудников в вашей компании. Ваша нулевая гипотеза предполагает, что нет никакого влияния от этих факторов. Какое утверждение лучше всего описывает альтернативную гипотезу?
Вы изучаете данные о продажах вашей компании за последние 6 месяцев и замечаете, что в июне было заметно меньше продаж, чем в другие месяцы. Как вы можете интерпретировать эту информацию с помощью статистики?
Вы изучаете данные о продажах различных товаров в вашем магазине. Вы хотите определить, насколько сосредоточены продажи вокруг определенного набора товаров. Какая мера концентрации поможет вам выявить эту информацию?
Вы изучаете данные о температуре воздуха за последние месяцы и обнаруживаете, что в июне средняя температура была выше, чем в мае. Какое из следующих утверждений является наиболее правильным на основе статистического наблюдения?
Вы изучаете связь между уровнем образования и заработной платой. Какое из следующих утверждений наиболее точно описывает результаты корреляционного анализа?
Вы изучаете социальные и экономические факторы, влияющие на уровень счастья людей. У вас есть данные о доходах, образовании, семейном положении и уровне удовлетворенности жизнью для различных групп людей. Какой метод анализа данных подходит для определения наиболее важных факторов, влияющих на уровень счастья?
Вы исследуете доходы населения в разных районах вашего города. Вам нужно определить уровень неравенства в доходах между районами. Какой статистический показатель лучше всего отражает это?
Вы исследуете изменения в стоимости акций компании на рынке за последние годы. Вам нужно построить прогноз будущих изменений стоимости на основе предыдущих данных. Какой статистический метод наиболее подходит для этой задачи?
Вы исследуете изменения уровня удовлетворенности клиентов до и после внедрения новой системы обслуживания. Какой статистический критерий наиболее подходит для сравнения уровня удовлетворенности клиентов до и после изменений?
Вы исследуете предпочтения потребителей в отношении брендов мобильных телефонов. Выборка составляет 200 человек, опрошенных на улицах города. Какое утверждение наиболее точно описывает выборочное наблюдение в этом случае?
Вы исследуете предпочтения потребителей по цвету автомобилей в городе. Для этого вы опрашиваете 100 владельцев автомобилей на одной из улиц. Какое утверждение наиболее соответствует выборочному наблюдению в этом случае?
Вы исследуете средний уровень дохода в вашем районе. После анализа данных вы получили средний доход 40,000 долларов, с известным стандартным отклонением 5,000 долларов. Какой интервал оценки на уровне доверия 99% содержит средний доход в районе?
Вы исследуете эффективность нового лекарства для лечения определенного заболевания. Ваша нулевая гипотеза утверждает, что новое лекарство не имеет эффекта по сравнению с плацебо. Какое утверждение наиболее точно описывает альтернативную гипотезу в этом случае?
Результат сдачи зависит от попавшихся вопросов.
Мой итоговый набранный балл 100 из 100 (Скриншот прилагаю).
ВНИМАНИЕ! Покупайте работу, только убедившись, что ваши вопросы совпадают с представленными ниже. Для этого рекомендую сначала запустить тест и сверить хотя бы несколько вопросов.
УЧЕБНЫЕ МАТЕРИАЛЫ
- Введение в курс
- Тема 1. Статистика как наука и ее роль в области исследований практической психологии
- Тема 2. Статистическое наблюдение как исходный этап статистического исследования
- Тема 3. Выборочное наблюдение в исследованиях в области психологии
- Тема 4. Статистические методы первичной обработки данных. Статистическая сводка и группировка данных
- Тема 5. Статистический показатель: его метаданные, формы и виды
- Тема 6. Меры вариации, дифференциации и концентрации признака в совокупности
- Тема 7. Интервальное оценивание параметров распределения данных.
- Тема 8. Статистические гипотезы и уровни значимости. Проверка гипотез
- Тема 9. Корреляционный анализ
- Тема 10. Статистические критерии различий для независимых выборок.
- Тема 11. Статистические критерии различий для зависимых выборок.
- Тема 12. Многомерные методы анализа данных.
- Тема 13. Статистические методы анализа и моделирования тенденций и временных закономерностей
- Заключение
- Итоговая аттестация
СПИСОК ВОПРОСОВ:
ТЕСТ 1
Ваш друг рассказывает вам о результатах опроса, проведенного среди студентов вашего университета. Он утверждает, что средний возраст студентов составляет 25 лет. Как вы можете оценить этот вывод с точки зрения статистики?
- Нужно убедиться, что выборка студентов представляет всю популяцию университета, чтобы делать такие выводы.
- Средний возраст студентов не может быть 25 лет, так как это не соответствует реальной ситуации.
- Средний возраст студентов вполне может быть 25 лет, если опрос был проведен правильно.
Вся совокупность единиц, о которой нужно составить суждение, — это … совокупность
Множество единиц, которые объединены общим содержанием, — это статистическая …
Отрасль практической деятельности; статистический учет по сбору, обработке, анализу и публикации массовых цифровых данных о явлениях и процессах общественной жизни – это …
Признаки совокупности, которые не зависят от времени, то есть фиксируются на определенную дату времени, — это … признаки
- вторичные
- моментные
- существенные
Признаки совокупности, которые связаны с определяющим свойством совокупности, то есть со свойством, которое формирует множество единиц в одну совокупность, — это … признаки
- несущественные
- существенные
- первичные
Сопоставьте виды данных с их описанием:
A. Количественные
B. Категориальные
C. Порядковые
D. представлены в числовой форме и могут быть подвергнуты математическому анализу
E. представлены в виде категорий или меток без какого-либо специфического порядка
F. можно упорядочить по некоторой шкале или рангу
Упорядочите этапы статистического исследования в правильной последовательности:
1 сбор данных
2 формулировка гипотезы и цели исследования
3 анализ полученных данных
4 интерпретация результатов
Часть единиц генеральной, которые специально отобрали, чтобы по ней судить о генеральной совокупности в целом, — это … совокупность
Шкала, которая классифицирует значения атрибутивного признака по принципу «больше -меньше», — это … шкала
Шкала с перечнем градаций признака, которые отличаются по названию, — это … шкала
ТЕСТ 2
Вы замечаете, что среднее время ожидания на кассе в вашем магазине значительно увеличилось за последние несколько недель. Какое из нижеперечисленных утверждений наиболее соответствует статистическому наблюдению?
- Время ожидания на кассе увеличилось из-за плохого обслуживания.
- Среднее время ожидания на кассе статистически увеличилось за последние несколько недель, что требует дополнительного анализа для выявления причин.
- Среднее время ожидания на кассе не изменяется, и ваше наблюдение неверно.
Зарегистрированные в специальных документах признаки по каждой единице совокупности – это … наблюдения
Множество единиц, которое нужно статистически исследовать, — это … статистического наблюдения
- субъект
- объект
- цель
Научно организованный, планомерный и систематический процесс сбора массовых данных о разных процессах, явлениях и фактах – это статистическое …
При … наблюдении признаки наблюдают по части единиц совокупности с целью охарактеризовать свойства общей совокупности
При … наблюдении регистрируют признаки по всем единицам статистической совокупности, которую изучают
Сопоставьте характеристики статистического наблюдения с их определениями:
A. Планомерность
B. Массовость
С. Систематичность
D. наблюдение, проводимое по заранее разработанному плану, охватывающему все аспекты сбора статистической информации
E. охват большого числа случаев проявления явления или процесса
F. проведение наблюдения систематически, непрерывно или регулярно, а не стихийно
Упорядочите этапы статистического наблюдения в верном порядке:
1 подготовительный
2 непосредственное наблюдение
3 проверка результатов наблюдения
Физическое или юридическое лицо, которое наблюдение проводит, – это … наблюдения
- субъект
- объект
- спонсор
Элемент совокупности, от которого получают сведения о единице наблюдения – это единица …
Элемент статистической совокупности, носитель свойств и признаков, которые нужно регистрировать – это … наблюдения
ТЕСТ 3
… отбор используется в том случае, когда в генеральной совокупности различия единиц по изучаемому признаку носят количественный характер, при этом единицы наблюдения или объективно располагаются в каком-либо порядке во времени или в пространстве или есть возможность это сделать
Вы проводите исследование средней оценки студентов в вашем университете по предмету математики. Вы берете опросную выборку из 50 студентов первого курса. Какое из нижеприведенных утверждений наиболее точно описывает выборочное наблюдение в этом случае?
- Вы выбрали только студентов с высокими оценками, что сделало выборку не репрезентативной.
- Ваша выборка представляет все курсы и уровни успеваемости, что делает ее репрезентативной для всего университета.
- Вы выбрали студентов случайным образом, но это не гарантирует, что выборка будет точной.
Выборочная оценка является … , если она имеет минимальную дисперсию по сравнению с другими оценками
- несмещенной
- состоятельной
- эффективной
Выборочная оценка является … , если с увеличением численности выборки оценка все больше и больше приближается к оцениваемому параметру, то есть при n → N разность между оценкой и оцениваемым параметром может быть сколь угодно малой
- несмещенной
- состоятельной
- эффективной
Выборочная совокупность – это специально отобранная часть … совокупности
Исходная статистическая совокупность, по которой на основе выборки должны быть получены статистические характеристики, — это … совокупность
Постоянное завышение или занижение значения оценки по сравнению с характеристикой генеральной совокупности – это … ошибки
Сопоставьте виды отборов и характеристики:
A. Случайный отбор
B. Механический отбор
C. Типический отбор
D. используется в том случае, когда в генеральной совокупности различия единиц по величине изучаемого признака носят количественный характер, предварительное расположение единиц генеральной совокупности в каком-либо порядке невозможно или нецелесообразно
E. используется в том случае, когда в генеральной совокупности различия единиц по изучаемому признаку носят количественный характер, при этом единицы наблюдения или объективно располагаются в каком-либо порядке во времени или в пространстве или есть возможность это сделать
F. целесообразно использовать в том случае, если в генеральной совокупности объективно существуют качественно своеобразные группы единиц
Специально организованное наблюдение за частью единиц исходной совокупности с целью получения полных и объективных данных о всей совокупности – это … наблюдение
Статистическая характеристика (средняя, доля, дисперсия и т.д.) выборочной совокупности, на основе которой делается заключение относительно той или иной статистической характеристики генеральной совокупности – это статистическая …
Упорядочите этапы процесса выборочного наблюдения в правильной последовательности:
1 определение критериев для отбора выборки
2 оценка характеристик генеральной совокупности
3 определение цели исследования
4 осуществление наблюдения или сбора данных
ТЕСТ 4
Вы составляете статистическую сводку о продажах в вашем магазине за последний месяц. У вас есть данные о продажах различных товаров, но количество позиций слишком велико, чтобы представить их всех отдельно. Какой метод группировки данных наиболее подходит для составления сводки?
- Составление списка всех проданных товаров в алфавитном порядке.
- Группировка товаров по категориям или типам, таким как одежда, электроника, продукты питания и т. д.
- Включение каждой отдельной позиции в статистическую сводку для максимальной детализации.
Метод разделения единиц статистической совокупности на группы по признакам – это …
Незаполненная цифрами таблица – это …
Определенная комбинация горизонтальных и вертикальных линий – это … статистической таблицы
- ячейка
- остов
- столбец
Разделение множества объектов технико-экономической информации на подмножества по их сходству и различию – это …
Разность между наибольшим и наименьшим значениями признаков в каждой группе – это …
Система статистических показателей, которая изображена особым способом: содержание и формы показателей указывают в наименовании граф (столбцов) и строк, а величины показателей дают цифрами на пересечении соответствующих граф и строк, — это …
- схема
- статистическая таблица
- график
Совокупность единиц, которые качественно отличаются от других единиц совокупности по ряду свойств, — это …
Сопоставьте термины статистической сводки с их определениями:
A. Мода
B. Медиана
С. Среднее значение
D. самое частое значение в наборе данных
E. значение, которое разделяет набор данных на две равные части
F. среднее арифметическое всех значений в наборе данных
Статистическая совокупность, о которой идет речь в таблице, т.е. перечень отдельных единиц совокупности либо их группы, — это … таблицы
Упорядочите этапы проведения сводки в правильном порядке:
1 подготовительный
2 непосредственное проведение работ по сводке
3 анализ полученных показателей
ТЕСТ 5
Вы анализируете данные о продажах вашей компании за последний квартал. Вам нужно представить общую картину о продажах. Какой из нижеперечисленных статистических показателей наиболее подходит для этого?
- Среднее арифметическое.
- Медиана
- Размах
Отношение показателей части единиц совокупности, обладающих специфическими свойствами, к показателю по всей численности единиц, — это показатели …
- координации
- структуры
- сравнения
Показатели, которые отражают черты состояния, развития экономики и взаимосвязи экономических признаков, — это … показатели
Показатели, которые формируются как обобщение индивидуальных значений признака по всей совокупности единиц и по группам по сложной сводке, — это … показатели
Показатели, которые характеризуют социальную жизнь общества: демографию населения, условия, факторы, уровень и качество жизни, — это … показатели
Показатели на мировом уровне, по национальной экономике в целом, по федеральным округам и субъектам экономики, по секторам и видам экономической деятельности, крупным экономическим комплексам и зонам — это … показатели
Показатели на муниципальном и районном уровне, по отдельным группам лиц, групп организаций – это … показатели
Показатель, получаемый как результат деления абсолютных величин, — это … показатель
- натуральный
- относительный
- трудовой
Расположите статистические показатели по убыванию степени изменчивости:
1 размах
2 среднеквадратическое отклонение
3 медиана
4 среднее арифметическое
Сопоставьте статистический показатель с его определением:
A. Среднее арифметическое
B. Медиана
C. Дисперсия
D. показатель, который равен сумме всех значений, разделенной на их количество
E. значение, которое делит упорядоченный набор данных пополам
F. мера разброса данных относительно среднего значения
Статистические … как результат статистической сводки представляют собой количественную характеристику социально – экономических явлений и процессов в условиях качественной определенности
ТЕСТ 6
Вы исследуете количество времени, проведенного студентами на учебе в течение недели. Вы хотите определить, насколько разнообразно студенты распределяют свое время между учебой и другими активностями. Какая мера вариации наилучшим образом отразит эту информацию?
- Среднее арифметическое.
- Дисперсия.
- Коэффициент корреляции.
Коэффициент … представляет собой отношение размаха вариации к среднему значению признака
Основным относительным показателем вариации является … коэффициент вариации V, рассчитываемый как отношение среднего квадратического отклонения к среднему значению признака
Разность максимального и минимального значений признака и показывает максимальную изменчивость признака в совокупности — это …вариации – R= Хmax - Xmin
Сопоставьте меру вариации с соответствующим ей определением:
A. Дисперсия
В. Интерквартильный размах
C. Среднее абсолютное отклонение
D. мера разброса данных, равная квадрату среднеквадратического отклонения
E. разница между верхним и нижним квартилями
F. средняя абсолютная разница между каждым значением и средним
Среднее отклонение индивидуальных значений признака от средней арифметической признака характеризует …
- мода
- среднее квадратичное отклонение
- медиана
Средний квадрат отклонений индивидуальных значений признака от средней арифметической признака – это …
- мода
- дисперсия
- медиана
Среднюю колеблемость признака в изучаемой совокупности и представляет собой среднюю арифметическую величину отклонений индивидуальных значений признака (xi) от средней арифметической (x) характеризует … линейное отклонение -L
Сумма квадратов отклонений значений признаков от средней величины – это … вариации-W
Упорядочите меры вариации по возрастанию их чувствительности к выбросам:
1 интерквартильный размах
2 среднее абсолютное отклонение
3 дисперсия
Формула … вариации равна W=Σ(xi – x)² для невзвешенных данных
ТЕСТ 7
… распределение имеет формулу

Вы исследуете средний уровень удовлетворенности клиентов вашей компании. После анализа данных вы получили среднее значение удовлетворенности равное 4.2 на шкале от 1 до 5, с стандартным отклонением 0.8. Какой интервал оценки на уровне доверия 95% содержит среднюю удовлетворенность клиентов?
- (3.4, 4.6).
- (3.8, 4.6).
- (3.6, 4.8).
Выборочный … момент порядка l рассчитывают по формуле µ₁ = 1/𝑛 ∑(𝑥𝑖 – 𝑥)¹
Выборочный … момент порядка l рассчитывают по формуле m₁ = 1/𝑛 ∑𝑥𝑖¹
Если выборочное распределение близко к нормальному, то в не слишком маленькой выборке величина коэффициента вариации Vx должна быть не более …%
- 50
- 33
- 23
Если выборочное распределение близко к нормальному, то оценка эксцесса Ex и коэффициента асимметрии Ax должны быть близки к …
- 1
- 0
- -1
Коэффициент … рассчитывают по формуле

На рисунке (см. ниже) изображено несколько случаев различной асимметрии: 1 – кривая с … асимметрией

На рисунке (см. ниже) изображено несколько случаев различной асимметрии: 2 - кривая с … асимметрией

Расположите этапы для построения интервальной оценки среднего значения выборки в правильной последовательности:
1 расчет доверительного интервала
2 интерпретация результата
3 выбор уровня доверия
Сопоставьте этапы построения интервальной оценки с их описанием:
A. Выбор уровня доверия
B. Расчет доверительного интервала
C. Интерпретация результата
D. определяется доля вероятности, с которой интервал будет содержать истинное значение параметра
E. включает в себя математические вычисления для определения диапазона значений параметра
F. результаты интервальной оценки анализируются и интерпретируются с учетом выбранного уровня доверия
ТЕСТ 8
Вероятность не отвергнуть верную нулевую гипотезу – это уровень …
Вероятность не отвергнуть неверную нулевую гипотезу (β) – это ошибка …рода
Вероятность отвергнуть верную нулевую гипотезу (α) – это ошибка …рода
Вероятность отвергнуть верную нулевую гипотезу – это уровень … (α)
Вероятность отвергнуть неверную нулевую гипотезу (1 − β) – это … критерия
Вы исследуете эффективность нового метода обучения в вашей школе. Ваша гипотеза заключается в том, что новый метод приведет к улучшению успеваемости учащихся. Какое утверждение наиболее точно описывает альтернативную гипотезу в этом случае?
- Новый метод обучения не будет иметь влияния на успеваемость учащихся.
- Новый метод обучения приведет к улучшению успеваемости учащихся.
- Успеваемость учащихся может улучшиться или ухудшиться при использовании нового метода обучения.
Предположение о свойствах и характеристиках исследуемых генеральных совокупностей — это статистическая …
Расставьте этапы статистического исследования в правильном порядке:
1 сбор первичного статистического материала, проверка его полноты и достоверности
2 предварительная обработка данных
3 расчет и интерпретация обобщающих статистических показателей
4 моделирование взаимосвязей между социально-экономическими процессами и явлениями
Сопоставьте тип ошибки при проверке статистической гипотезы с его описанием:
A. Ошибка первого рода
B. Ошибка второго рода
C. Уровень значимости
D. происходит, когда нулевая гипотеза отвергается, когда она на самом деле верна
E. происходит, когда нулевая гипотеза принимается, когда она на самом деле неверна
F. используется для определения критической области для принятия решения относительно нулевой гипотезы
Утверждение о параметре генеральной совокупности или распределении, которое необходимо проверить, – это …
- двусторонние альтернативы
- нулевая гипотеза (H0)
- альтернативная гипотеза (HA)
Утверждение, противоположное нулевой гипотезе, — это …
- двусторонние альтернативы
- нулевая гипотеза (H0)
- альтернативная гипотеза (HA)
ТЕСТ 9
Вы исследуете связь между количеством часов, проведенных студентами на подготовку к экзамену, и их итоговыми баллами. Какое из нижеприведенных утверждений наиболее точно описывает результаты корреляционного анализа?
- Нет корреляции между количеством часов, проведенных на подготовку, и итоговыми баллами студентов.
- Есть слабая положительная корреляция между количеством часов, проведенных на подготовку, и итоговыми баллами студентов.
- Есть сильная отрицательная корреляция между количеством часов, проведенных на подготовку, и итоговыми баллами студентов.
К условиям проведения корреляционного анализа относится тот факт, что данные по признакам должны иметь … размерность и методологию расчета
- положительную
- одинаковую
- отрицательную
К условиям проведения корреляционного анализа относится тот факт, что признаки, между которыми исследуется взаимосвязь, должны иметь … выражение
К условиям проведения корреляционного анализа относится тот факт, что совокупность должна быть … по составу единиц и существенна по их количеству
Корреляция, равная … , указывает на идеальную взаимосвязь в виде прямой линии
- -1
- 1
- 0
Корреляция, равная … , указывает на отрицательную идеальную взаимосвязь в виде прямой линии
- -1
- 1
- 0
На рис. (см. ниже) показана диаграмма …

Расположите типы корреляции по степени силы взаимосвязи от наименьшей к наибольшей:
1 корреляция Спирмена
2 корреляция Кендалла
3 корреляция Пирсона
Сопоставьте тип корреляции с его описанием:
A. Корреляция Пирсона
B. Корреляция Спирмена
C. Корреляция Кендалла
D. используется для измерения степени монотонной взаимосвязи между двумя переменными, не требует нормального распределения данных
E. используется для измерения силы и направления линейной взаимосвязи между двумя количественными переменными
F. используется для измерения степени согласованности рангов двух переменных
Тесноту и направление связи между двумя признаками при наличии между ними линейной зависимости характеризует … коэффициент корреляции r
Число, которое говорит, что большим значениям одного фактора соответствуют большие значения другого или наоборот, — это …
ТЕСТ 10
… распределение характеризует такие случайные величины, на которые воздействует большое количество разнообразных факторов (ошибки, возникающие при измерениях, отклонения при стрельбе)
- биноминальное
- нормальное
- экспонециальное
Вы исследуете разницу в среднем времени реакции на тест между двумя группами студентов: группой, которая получала специальное обучение, и группой, которая не получала. Какой из следующих статистических критериев наиболее подходит для оценки различий между этими двумя группами?
- Т-критерий Стьюдента для независимых выборок.
- Z-критерий.
- Дисперсионный анализ (ANOVA).
Количество возможных направлений изменчивости признака – это число степеней …
Критерий … применяют для оценки различий экспериментальных данных, которые получены в двух разных условиях на одной и той же выборке испытуемых
Критерий различия называют … , если он основан на конкретном типе распределения генеральной совокупности (как правило, нормальном) или использует параметры этой совокупности (средние, дисперсии и т.д.) в формуле расчета
Наблюдаемое значение, характеризующее данную конкретную экспериментальную ситуацию; конечный результат расчетов, осуществленный с помощью того или иного метода (критерия) математической статистики, — это … значение критерия
Норматив, эталон, на который необходимо равняться, оценивая по нему свое индивидуальное поведение, — это …
Решающее правило, которое обеспечивает принятие истинной и отклонение ложной гипотезы с высокой вероятностью, — это статистический …
Сопоставьте статистический критерий с его особенностями и условиями применения:
A. Т-критерий Стьюдента
B. Дисперсионный анализ (ANOVA)
C. U-критерий Манна-Уитни
D. подходит для сравнения средних значений двух независимых выборок с нормальным распределением и равных дисперсий
E. позволяет сравнивать средние значения в более чем двух группах
F. непараметрический критерий, используемый для сравнения медиан двух независимых выборок
Установите правильную последовательность этапов проведения исследования:
1 определить, является ли выборка связной или несвязной
2 определить однородность–неоднородность выборки
3 оценить объем выборки и выбрать критерий
4 выбрать наименее трудоемкий критерий
5 применить более мощный и трудоемкий критерий
6 выбрать критерии, которые наиболее полно используют информацию
7 при малом объеме выборки следует увеличивать величину уровня значимости
Установление общего направления сдвига исследуемого признака – это назначение …
- парного Т-критерия Вилкоксона
- G-критерия знаков
- t-критерия Стьюдента
ТЕСТ 11
Вероятность совершить ошибку первого рода, то есть отвергнуть верную нулевую гипотезу (обычно выбирается на уровне 0.05 или 0.01) – это уровень …
Вы исследуете влияние новой методики обучения на успеваемость студентов. Для этого вы тестируете их знания до и после применения новой методики. Какой статистический критерий следует использовать для сравнения результатов до и после внедрения новой методики?
- Т-критерий Стьюдента для независимых выборок.
- Т-критерий Стьюдента для зависимых выборок.
- Z-критерий.
Критерий проверки гипотезы о том, что в определенной генеральной совокупности среднее можно считать равным μ (одновыборочный критерий), или же что средние двух генеральных совокупностей равны между собой (двухвыборочный критерий) и при этом не получить существенных противоречий с данными – это …
- парный t-критерий Вилкоксона
- g-критерия знаков
- t-критерий Стьюдента
Критерий различия называют … , если он не базируется на предположении о типе распределения генеральной совокупности и не использует параметры этой совокупности
Критерий различия называют … , если он основан на конкретном типе распределения генеральной совокупности
Непараметрическим критерием для независимых выборок является критерий …
- Розенбаума
- t-Вилкоксона
- g-знаков
Общая вариация индивидуальных значений в каждой группе и их групповое среднее значение – это … вариация
Общая вариация между средним значением каждой группы и общим средним значением – это … вариация
Расставьте шаги для проведения t-критерия для зависимых выборок в правильной последовательности:
1 выбор уровня значимости
2 проверка предположений о нормальности распределения разностей
3 выбор альтернативной гипотезы
4 расчет t-статистики
5 проведение теста
Сопоставьте шаги проведения парного t-теста с их описанием:
A. Выбор уровня значимости
B. Расчет t-статистики
C. Проверка предположений о нормальности распределения разностей
D. этап, на котором определяется пороговое значение, ниже которого различия считаются статистически значимыми
E. шаг, включающий расчет статистической меры, основанной на отклонениях средних значений и их стандартных ошибок
F. перед проведением теста необходимо убедиться, что разности между парами наблюдений имеют нормальное распределение или используются альтернативные методы анализа
Статистический критерий, используемый для сравнения … значений в двух зависимых выборках, то есть, когда одни и те же участники измеряются дважды в разных условиях или моментах времени – это парный Т-критерий Вилкоксона
ТЕСТ 12
Вы анализируете данные о потреблении продуктов в различных регионах. У вас есть информация о потреблении молока, мяса и овощей в нескольких регионах за последний год. Какой метод анализа данных подходит для определения основных факторов, влияющих на паттерны потребления в разных регионах?
- Кластерный анализ.
- Факторный анализ.
- Дискриминантный анализ.
Для изучения взаимосвязи одной переменной (зависимой, результирующей) и нескольких других (независимых, исходных) предназначен … регрессионный анализ
Для уменьшения размерности исходных данных с целью их экономного описания при условии минимальных потерь исходной информации предназначен … анализ
К … относятся кластерный анализ и дискриминантный анализ
- методам классификации
- методам предсказания
- структурным методам
К … относятся множественный регрессионный анализ и дискриминантный анализ
- методам классификации
- методам предсказания
- структурным методам
Переход от множества исходных переменных к существенно меньшему числу новых переменных – это …
Представление эмпирических данных в пригодных для интерпретации виде – это … функция математических методов
Причина совместной изменчивости нескольких исходных переменных – это …
Процедура упорядочивания объектов в сравнительно однородные классы на основе попарного сравнения этих объектов по предварительно определенным и измеренным критериям – это … анализ
Сопоставьте методы анализа данных с их описаниями:
A. Многомерное шкалирование
B. Главные компоненты
C. Стохастическое вложение соседей с t-распределением (T-SNE)
D. метод, используемый для визуализации данных в пространстве меньшей размерности, сохраняя при этом геометрические отношения между данными
E. техника, которая позволяет сократить размерность данных, сохраняя при этом максимальное количество их дисперсии
F. метод, позволяющий сжать информацию о высокоразмерных данных в пространство меньшей размерности с сохранением структуры и взаимного расположения объектов
Упорядочьте этапы статистического наблюдения в правильном порядке:
1 планирование и формулирование проблемы
2 сбор данных
3 обработка данных
4 анализ данных
5 интерпретация результатов
6 публикация результатов
ТЕСТ 13
… прирост характеризует размер увеличения или уменьшения уровня ряда за определенный промежуток времени
Вы анализируете ежемесячные данные о продажах вашего продукта за последние несколько лет. Вам нужно определить, есть ли явная тенденция в росте или снижении продаж со временем. Какой статистический метод наиболее подходит для анализа временных тенденций?
- ANOVA (дисперсионный анализ).
- Множественная регрессия.
- Метод экспоненциального сглаживания.
Периодические колебания, которые имеют определенный и постоянный период, равный годовому промежутку, — это … колебания
Представление уровней данного ряда динамики в виде функции времени: y = f(t) предполагает … выравнивание
Процентные отношения фактических внутригодовых уровней к постоянной или переменной средней – это …
- смыкание
- индексы сезонности
- базис
Ряды динамики следующих друг за другом периодов или повторяющихся через равные промежутки дат – это … ряды
Сопоставьте методы анализа временных рядов с их описаниями:
A. Метод скользящего среднего
B. ARIMA модели (методология Бокса — Дженкинса)
С. Экспоненциальное сглаживание
D. техника, которая использует взвешенные средние прошлых значений для сглаживания временного ряда и выявления общих тенденций
E. модели, которые учитывают исторические значения временного ряда и случайную составляющую для прогнозирования будущих значений
F. метод, который присваивает различные веса последним наблюдениям, учитывая их возраст
Упорядочите этапы анализа временных данных по порядку их выполнения:
1 определение сезонности
2 построение тренда
3 выборочное сглаживание
4 оценка случайной компоненты
Уровень, с которым происходит сравнение называют …
- нулевым
- базисным
- приоритетным
Формула для расчета … абсолютного прироста – это Δб = Yi – Y1
Формула для расчета … абсолютного прироста – это Δц = Yi – Yi-1
ИТОГОВЫЙ ТЕСТ
… в статистике — это мера, которая показывает разброс между результатами.
… коэффициент рассчитывают по формуле k = K₄/K₁, где K-квинтили №4 и №1
… коэффициент рассчитывают по формуле Kq = Q₃/Q₁, где Q-квартили №3 и №1
… позволяет систематизировать материал наблюдения, подготовить его к анализу и выявить, статистические закономерности изучаемых явлений и процессов
Вероятность того, что ошибка будет находиться в некотором интервале, — это вероятность …
Выборочная оценка называется … , если для ее расчета используется вся информация, содержащаяся в выборке
- несмещенной
- состоятельной
- достаточной
Высокая корреляция, которая обеспечивается действием третьего фактора, — это … корреляция
Для определения тесноты связи двух качественных признаков, каждый из которых состоит только из двух вариантов, применяются коэффициенты …
- ассоциации и контингенции
- ассоциации и текучести
- эффективности и контингенции
Для распределений симметричных относительно математического ожидания коэффициент ассиметрии Ax = …
- 2
- 1
- 0
Документ, в котором содержится программа статистического наблюдения, — это … наблюдения
- программа
- формуляр
- смета
Если Q- критерий выявляет достоверные различия между выборками с уровнем значимости Р≥ … , можно ограничиться только им
Если все значения признака разделить на … число А, то дисперсия от этого преобразования уменьшится в квадрат постоянного числа А
Если все значения признака уменьшить на постоянное число А, то дисперсия от этого преобразования …
- не изменится
- уменьшится
- увеличится
Если все частоты встречаемости (статистические веса) разделить на постоянное число А, то дисперсия от этого преобразования …
- не изменится
- уменьшится
- увеличится
Если выборочное распределение близко к нормальному, то …
- xср + x₀
- xср – x₀
- xср ≈ x₀
Если мода, медиана и среднее арифметическое равны, то ряд имеет … распределение
Значение статистики, которое получают по выборке, на основе имеющихся данных, — это … значение статистики
Когда в генеральной совокупности отсутствуют качественные различия между единицами используется … отбор
Комплекс статистических работ с применением статистических методов анализа по формированию статистических показателей – это статистическое …
Коэффициент ассоциации принимает значения в интервале …
- [-1;0]
- [-1;1]
- [0;1]
Коэффициент находят по формуле … , которая равна Ka = (n₁₁n₂₂ – n₁₂n₂₁)/(n₁₁n₂₂ + n₁₂n₂₁)
Критерий … используют для оценки различий между двумя выборками по уровню какого-либо признака, количественно измеренного
- t-Вилкоксона
- Рoзeнбаума
- u-Манна-Уитни
Критерий … применяется для сопоставления показателей, измеренных в трех и более условиях на одной и той же выборке испытуемых
- Вилкоксона
- знаков
- L–Пейджа
Критерий различия называют … , если он не базируется на предположении о типе распределения генеральной совокупности и не использует параметры этой совокупности
Критерий согласия … предназначен для проверки гипотезы о принадлежности выборки некоторому закону распределения, то есть проверки того, что эмпирическое распределение соответствует предполагаемой модели
Массовый, планомерный, научно организованный сбор данных о социально-экономических явлениях и процессах, заключающийся в регистрации отобранных признаков у каждой единицы изучаемой совокупности, – это … наблюдение
- статистическое
- неосознанное
- нестандартизированное
Меняющиеся от выборки к выборке по знаку и величине различия между оценкой и оцениваемой характеристикой генеральной совокупности – это … ошибки
Мера силы и направления связи между двумя переменными в зависимых выборках, оцененная с использованием методов анализа дисперсии, — это … взаимосвязь
Метод … основан на укрупнении периодов времени, к которым относятся уровни
- Гауса
- укрупнения интервалов
- трех сигм
На рисунке (см. ниже) изображено несколько случаев различной асимметрии. Третья кривая – кривая … распределения

Наблюдение за отдельной единицей совокупности, которая обладает типическими чертами совокупности, — это … наблюдение
Область не отвержения нулевой гипотезы – это область … значений
Обобщающая характеристика массового общественного явления в его количественной, качественной, временной и пространственной определенностях – это статистический …
Отношение уровня планового задания к фактическому уровню предшествующего периода — это показатели …
- координации
- структуры
- планового задания
Оценка является … , если ее математическое ожидание равно значению параметра в генеральной совокупности
Ошибка одной проведенной выборки – это … ошибка
- случайная
- средняя
- конкретная
Перечень показателей и группировок, которые следует получить или опубликовать в результате сводки, — это …
Перечень признаков по каждой единице совокупности, который подлежит наблюдению, — это … наблюдения
- отчет
- программа
- смета
Планомерный, научно организованный сбор данных, т.е. значений признаков по единицам статистической совокупности, — это статистическое …
- прогнозирование
- исследование
- наблюдение
Пороговое значение статистики, которое ожидают в случае, если нулевая гипотеза верна, — это … значение
Последовательность изменяющихся во времени значений показателя, расположенных в хронологическом порядке, — это … динамики
Постоянный мониторинг состояния и развития наблюдаемых единиц, заключающийся в размещении и своевременной актуализации информации о них в базе данных, — это … наблюдение
Правило, которое позволяет делать вывод о том, стоит ли на основе имеющихся данных отвергать нулевую гипотезу или нет, — это статистический …
При расчете конечных показателей на основе промежуточных показателей применяют … сводку
Причиной появления … непреднамеренной ошибки является несоблюдение принципа равновероятности попадания каждой единицы генеральной совокупности в выборку, то есть выборка формируется из преимущественно «худших» (или «лучших») представителей генеральной совокупности
Разместите методы анализа данных по убыванию их использования в крупных данных из-за их вычислительной сложности:
1 кластерный анализ
2 многомерное шкалирование
3 факторный анализ
4 стохастическое вложение соседей с t-распределением (t-SNE)
Расположите критерии различий по типу данных, для которых они применяются, от наиболее универсального к наиболее специфичному:
1 дисперсионный анализ (ANOVA)
2 t-критерий Стьюдента (для независимых выборок)
3 u-критерий Манна-Уитни
Расположите меры дифференциации в порядке увеличения их способности отображать различия между значениями:
1 индекс Херфиндаля-Хиршмана (Индекс Герфиндаля)
2 коэффициент Лоренца
3 коэффициент Гини
Расположите шаги проведения корреляционного анализа в порядке их выполнения от начального к конечному:
1 подготовка данных для анализа
2 проверка предпосылок анализа
3 вычисление коэффициента корреляции
4 визуализация данных
5 интерпретация результатов
Расположите шаги проверки статистической гипотезы в правильной последовательности:
1 формулирование нулевой и альтернативной гипотез
2 выбор уровня значимости
3 расчет статистики критерия
4 принятие решения об отклонении или неотклонении нулевой гипотезы
Рассмотрите рисунок ниже. В соответствии с понятием плотности вероятностей - площадь под каждой кривой плотности вероятностей равна …

Расставьте методы анализа данных в порядке увеличения их способности к сокращению размерности данных:
1 кластерный анализ
2 факторный анализ
3 метод главных компонент
4 многомерное шкалирование
Расставьте методы моделирования временных рядов по возрастанию сложности их математического описания:
1 метод скользящего среднего
2 экспоненциальное сглаживание
3 авторегрессионные модели
4 ARIMA модели (методология Бокса — Дженкинса)
Расставьте шаги для проведения анализа разностей в парных средних в правильной последовательности:
1 подготовка таблицы средних значений
2 проверка предположений о нормальности распределения разностей
3 выбор альтернативной гипотезы
4 расчет стандартной ошибки разности средних
5 проведение теста
Расставьте шаги для проведения парного коэффициента контингентности в правильной последовательности:
1 Подготовка таблицы сопряженности
2 Подсчет суммы квадратов отклонений от ожидаемых частот
3 Расчет стандартной ошибки
4 Выбор альтернативной гипотезы
5 Проведение теста
Результат использования выборки для вычисления интервала возможных значений неизвестного параметра, оценку которого нужно построить, — это … оценка
Скалярная характеристика островершинности графика плотности вероятности унимодального распределения – это коэффициент …
Соотношение разноименных абсолютных величин, логически связанных между собой и относящихся к одной статистической совокупности, — это показатели …
Сопоставьте виды отборов и характеристики:
A. Случайный отбор
B. Механический отбор
C. Типический отбор
D. используется в том случае, когда в генеральной совокупности различия единиц по величине изучаемого признака носят количественный характер, предварительное расположение единиц генеральной совокупности в каком-либо порядке невозможно или нецелесообразно
E. используется в том случае, когда в генеральной совокупности различия единиц по изучаемому признаку носят количественный характер, при этом единицы наблюдения или объективно располагаются в каком-либо порядке во времени или в пространстве или есть возможность это сделать
F. целесообразно использовать в том случае, если в генеральной совокупности объективно существуют качественно своеобразные группы единиц
Сопоставьте виды ошибок и их характеристики:
A. Систематические ошибки
B. Случайные ошибки
C. Конкретные ошибки
D. постоянное завышение или занижение значения оценки по сравнению с характеристикой генеральной совокупности
E. меняющиеся от выборки к выборке по знаку и величине различия между оценкой и оцениваемой характеристикой генеральной совокупности
F. ошибка одной проведенной выборки
Сопоставьте значения коэффициента корреляции с их интерпретацией:
A. 0
B. 0.75
C. -0.60
D. отсутствие линейной взаимосвязи между переменными
E. сильная положительная корреляция
F. умеренная отрицательная корреляция
Сопоставьте меру дифференциации с ее описанием:
A. Индекс Херфиндаля-Хиршмана (Индекс Герфиндаля)
B. Коэффициент Гини
C. Коэффициент Лоренца
D. статистический индекс, используемый для измерения степени концентрации ресурсов в экономике
E. мера, используемая для измерения степени неравномерности распределения доходов или богатства
F. кривая, которая показывает, как распределено богатство или доход в обществе
Сопоставьте методы группировки данных с их характеристиками:
A. Интервальный метод
B. Частотный метод
C. Серийный метод
D. разделение данных на группы с одинаковым интервалом
E. определение частоты появления каждого значения данных
F. группировка данных по непрерывным интервалам, учитывая порядок значений
Сопоставьте методы с их принципами работы:
A. Многомерное шкалирование
B. Метод главных компонент
C. Стохастическое вложение соседей с t-распределением (t-SNE)
D. стремится сохранить глобальные структурные отношения между объектами в исходном пространстве в преобразованном пространстве
E. отображает высокоразмерные данные в пространство меньшей размерности, сохраняя при этом локальные структурные отношения между близкими объектами
F. минимизирует дисперсию ошибки между оригинальными и преобразованными данными, сохраняя при этом их структуру
Сопоставьте методы сбора данных с их описанием:
A. Опросы
B. Эксперименты
C. Наблюдения
D. способ получения информации путем задания вопросов и получения ответов от респондентов
E. управляемая исследовательская процедура, где условия контролируются и манипулируются для изучения эффектов
F. систематическое изучение и запись данных без вмешательства исследователя
Сопоставьте статистический критерий с его описанием:
A. Bootstrap метод
B. Коэффициент корреляции Спирмена
C. Парный коэффициент контингентности
D. метод оценки распределения статистик путем многократного выбора случайных выборок из наблюдаемых данных с заменой
E. непараметрическая статистическая мера, оценивающая силу и направление связи между двумя переменными в зависимых выборках с порядковыми данными
F. статистическая мера, используемая для оценки связи между двумя категориальными переменными в зависимых выборках
Сопоставьте статистический критерий с типом данных, для которых он применяется, и примером исследования:
A. Т-критерий Стьюдента
B. Дисперсионный анализ (ANOVA)
C. U-критерий Манна-Уитни
D. две независимые непрерывные переменные, например, сравнение среднего балла по тесту в двух разных группах
E. две или более группы независимых наблюдений с нормальным распределением данных
F. две независимые выборки с ранговыми данными или ненормальным распределением, например, сравнение медиан дохода в двух разных группах
Сопоставьте статистический критерий с уровнем данных, для которых он применяется, и условиями применения:
A. Т-критерий Стьюдента
B. Дисперсионный анализ (ANOVA)
C. U-критерий Манна-Уитни
D. непрерывные или количественные данные
E. две или более группы независимых наблюдений с ненормальным распределением данных
F. ранговые данные или ненормально распределенные данные
Сопоставьте тип ошибки при проверке статистической гипотезы с его описанием:
A. Ошибка первого рода
B. Ошибка второго рода
C. Уровень значимости
D. происходит, когда нулевая гипотеза отвергается, когда она на самом деле верна
E. происходит, когда нулевая гипотеза принимается, когда она на самом деле неверна
F. используется для определения критической области для принятия решения относительно нулевой гипотезы
Сопоставьте тип параметра с его интервальной оценкой:
A. Среднее значение
B. Стандартное отклонение
С. Медиана
D. доверительный интервал считается вокруг этого параметра, чтобы оценить, где находится среднее значение генеральной совокупности
E. интервал, который указывает на диапазон значений, в котором находится этот параметр с определенной вероятностью
F. для этого параметра иногда используется интервал, но чаще используется точечная оценка
Сопоставьте тип распределения с его интервальной оценкой:
A. Нормальное распределение
B. Биномиальное распределение
C. Равномерное распределение
D. интервальная оценка параметров этого типа распределения часто используется в статистических анализах, когда известно, что данные подчиняются этому распределению
E. для этого типа распределения часто используются точечные оценки, так как интервальная оценка может быть неэффективной из-за особенностей распределения
F. интервальная оценка для этого типа распределения может быть сложной из-за его нестандартной формы
Сопоставьте типы компонентов временных рядов с их характеристиками:
A. Тренд
B. Сезонность
C. Случайная составляющая
D. систематические изменения во времени, которые происходят в течение длительного периода
E. регулярные и повторяющиеся колебания в данных, обусловленные внешними факторами или временными циклами
F. несистематические и случайные колебания, которые не могут быть объяснены трендом или сезонностью
Сопоставьте типы статистических данных с их характеристиками:
A. Непрерывные
B. Дискретные
С. Качественные
D. данные, которые могут принимать любое значение в определенном диапазоне
E. данные, которые могут принимать только целочисленные значения
F. данные, которые описывают качество или характеристики элементов без числовых значений
Сопоставьте уровень значимости с его описанием:
A. 0.05
B. 0.01
C. 0.10
D. уровень значимости, который обычно используется при проверке статистических гипотез
E. уровень значимости, который используется, когда требуется более высокий уровень доверия
F. уровень значимости, который используется, когда требуется особенно высокий уровень доверия
Сопоставьте формы представления данных с их характеристиками:
A. Гистограммы
B. Диаграммы размаха (Box plots)
C. Таблицы
D. обеспечивает точное числовое представление данных
E. используется для наглядного отображения распределения частот
F. позволяет визуализировать разброс данных и обнаружить выбросы
Сопоставьте характеристики статистического наблюдения с их описаниями:
A. Планомерность
B. Массовость
C. Систематичность
D. проведение наблюдения непрерывно или регулярно
E. охват большого числа случаев проявления явления или процесса
F. наблюдение, проводимое по заранее разработанному плану
Сопоставьте этапы построения модели временного ряда с их последовательностью:
A. Определение тренда и сезонных колебаний
B. Выбор типа модели и ее параметров
C. Оценка точности прогноза
D. предварительный анализ данных для выявления основных компонентов временного ряда
E. проверка и настройка выбранной модели с использованием исторических данных
F. оценка эффективности построенной модели с помощью статистических метрик
Сопоставьте этапы с проведением критерия для зависимых выборок:
A. Проведение теста
B. Проверка предположений о распределении данных
C. Выбор уровня значимости
D. шаг, включающий определение порогового значения, ниже которого различия считаются статистически значимыми
E. этап, на котором осуществляется расчет статистической меры и проверка гипотезы
F. перед проведением критерия необходимо убедиться, что данные удовлетворяют предположениям о нормальности или использовать непараметрические методы
Сопоставьте этапы статистического наблюдения с их описаниями:
A. Подготовка плана наблюдения
B. Сбор данных
C. Анализ полученных данных
D. разработка методологии и определение шагов наблюдения
E. сам процесс сбора статистической информации
F. обработка и интерпретация полученных результатов
Способ получения статистической информации от юридических лиц – это …
Сравнение двух структурных рядов, один из которых показывает структуру единиц совокупности, другой- структуру объема признака, — это показатели …
Средний уровень за период, который относится к середине выбранного периода, если число уровней ряда динамики нечетное, — это … скользящей средней
Статистическая мера, которая описывает силу связи между переменными в исследовании. В случае зависимых выборок показывает, насколько различия статистически значимы. Речь идет об эффекте …
Статистические показатели интенсивности могут быть получены по совокупности путем сопоставления … статистических показателей, например, количества потребленного населением молока и численности населения, или при обобщении вторичного признака предприятий – потребление молока в расчете на 1 человека
Упорядочите значения уровня значимости от наименьшего к наибольшему:
1 0.01
2 0.05
3 0.10
Упорядочите меры вариации по возрастанию их чувствительности к выбросам:
1 интерквартильный размах
2 среднее абсолютное отклонение
3 дисперсия
Упорядочите последовательность проведения статистической группировки в правильном порядке:
1 выделяют группировочный признак
2 строят ряд распределения по группировочному признаку
3 определяют абсолютные показатели
4 производят расчет сводных данных
5 рассчитывают средние или относительные показатели
6 анализируют результаты группировки
Упорядочите ситуации, описывающие возможные результаты корреляционного анализа, от самой вероятной до наименее вероятной:
1 коэффициент корреляции близок к 1
2 коэффициент корреляции близок к -1
3 коэффициент корреляции случайно положителен
4 коэффициент корреляции случайно отрицателен
5 коэффициент корреляции равен 0
Упорядочите формы представления статистических показателей от наиболее общей к наиболее детализированной:
1 сводные отчеты
2 таблицы
3 диаграммы
4 графики
Упорядочите этапы анализа временных данных по порядку их выполнения:
1 определение сезонности
2 построение тренда
3 выборочное сглаживание
4 оценка случайной компоненты
Упорядочите этапы взятия выборки и сбора статистических данных в правильном порядке:
1 определение генеральной совокупности
2 определение критериев отбора
3 выбор метода отбора выборки
4 определение размера выборки
5 сбор данных
6 проверка данных
7 обработка данных
8 интерпретация данных
Упорядочите этапы подготовки плана статистического наблюдения в правильном порядке:
1 определение цели наблюдения
2 выбор методологии и методов наблюдения
3 разработка плана наблюдения
4 определение необходимых ресурсов
5 пилотное тестирование
6 оценка рисков и контроль качества
7 подготовка документации и обучение персонала
8 утверждение и запуск
Упорядочите этапы построения статистической модели в правильной последовательности:
1 выбор подходящей статистической модели
2 обучение модели на обучающем наборе данных
3 проверка качества модели на тестовом наборе данных
4 интерпретация результатов моделирования
Установите правильную последовательность этапов для построения интервальной оценки моды выборки:
1 выбор уровня доверия
2 расчет доверительного интервала
3 интерпретация результата
Форма относительных показателей, при которой показатель не может быть представлен через другие относительные показатели, — это … форма
Функциональный оптимум, который подразумевает протекание процессов в системе с наибольшей слаженностью, эффективностью и экономичностью, — это …
Числовые показатели, которые характеризуют изучаемую совокупность, т.е. подлежащее таблицы, — это … таблицы
- подлжащее
- сказуемое
- остов
Чтобы применить … для независимых выборок, требуется, по крайней мере, одна независимая (группирующая) переменная (например, Пол: мужчина/женщина) и одна зависимая переменная (например, тестовое значение некоторого показателя, кровяное давление, число лейкоцитов и т.д.)
- парный Т-критерий Вилкоксона
- g-критерий знаков
- t-критерий
Широкомасштабные работы по сбору статистической информации об изучаемых объектах в границах отрасли, региона или страны в целом – это …
Экстраполяцию, проводимую в прошлое, называют …
- перспективой
- ретроспективой
- критичной точкой
Элемент совокупности, носитель признаков, то есть ее свойств, качеств, — это … в статистической совокупности
КОМПЕТЕНТНОСТНЫЙ ТЕСТ
Ваша команда провела опрос среди клиентов, чтобы выяснить, какие функции они предпочитают в вашем продукте. Вы хотите определить, какие функции наиболее востребованы. Какой статистический показатель лучше всего отразит это?
- Мода.
- Стандартное отклонение.
- Интерквартильный размах.
Ваша компания решает запустить новый продукт на рынке и провести исследование, чтобы определить потенциальную целевую аудиторию. Ваша задача - использовать статистические методы для анализа данных о предпочтениях потребителей. Какой из нижеприведенных шагов является наиболее важным для успешного завершения этой задачи?
- Собрать репрезентативную выборку потенциальных потребителей для проведения опроса или исследования.
- Определить статистически значимые различия между различными группами потребителей на основе собранных данных.
- Изучить исторические данные продаж аналогичных продуктов, чтобы выявить тенденции и предпочтения потребителей.
Ваша компания решила провести аудит производства для определения времени, затрачиваемого на каждый процесс. После сбора данных вы обнаружили, что время на упаковку товаров сильно варьируется от дня к дню. Как вы можете правильно интерпретировать это статистическое наблюдение?
- Процесс упаковки товаров неэффективен и требует немедленных изменений.
- Время упаковки товаров статистически значимо варьируется, и необходимо дополнительное исследование для выявления причин таких колебаний.
- Статистические данные о времени упаковки товаров не имеют значения для производственного процесса.
Вы анализируете данные о доходах населения двух разных районов города. Вам интересно, насколько различаются уровни доходов в этих районах. Какая мера дифференциации поможет вам лучше понять эту разницу?
- Интерквартильный размах.
- Коэффициент вариации.
- Коэффициент Гини.
Вы анализируете данные о доходах сотрудников в вашей компании за последний год. У вас есть список всех сотрудников и их заработных плат, но количество записей слишком велико, чтобы анализировать их всех индивидуально. Какой метод статистической сводки наиболее полезен для анализа этих данных?
- Включение каждого сотрудника и его заработной платы в отчет для полноты данных.
- Группировка сотрудников по уровню дохода, например, высокий, средний и низкий доход.
- Отображение доходов каждого сотрудника в хронологическом порядке для выявления тенденций.
Вы анализируете данные о потреблении кофе и уровне стресса среди работников в вашей компании. Какое из утверждений наиболее соответствует результатам корреляционного анализа?
- Нет корреляции между потреблением кофе и уровнем стресса среди работников.
- Есть положительная корреляция между потреблением кофе и уровнем стресса среди работников.
- Есть отрицательная корреляция между потреблением кофе и уровнем стресса среди работников.
Вы анализируете результаты опроса о предпочтениях потребителей в отношении различных видов продуктов. У вас есть данные о предпочтениях потребителей в отношении молочных продуктов, мяса, овощей и фруктов. Какой метод анализа данных подходит для выявления схожих паттернов предпочтений среди потребителей?
- Факторный анализ.
- Кластерный анализ.
- Многомерное шкалирование.
Вы анализируете эффективность лекарства для лечения пациентов до и после его применения. Какой статистический критерий наиболее подходит для оценки различий в показателях здоровья пациентов до и после лечения?
- ANOVA (дисперсионный анализ).
- Т-критерий Стьюдента для зависимых выборок.
- Критерий Манна-Уитни.
Вы изучаете влияние различных факторов на производительность сотрудников в вашей компании. Ваша нулевая гипотеза предполагает, что нет никакого влияния от этих факторов. Какое утверждение лучше всего описывает альтернативную гипотезу?
- Некоторые из факторов могут влиять на производительность сотрудников.
- Все факторы влияют на производительность сотрудников.
- Нет никаких факторов, влияющих на производительность сотрудников.
Вы изучаете данные о продажах вашей компании за последние 6 месяцев и замечаете, что в июне было заметно меньше продаж, чем в другие месяцы. Как вы можете интерпретировать эту информацию с помощью статистики?
- В июне была проведена акция или распродажа, что снизило средний объем продаж.
- В июне обычно происходит снижение спроса из-за сезонных факторов, что привело к меньшим продажам.
- Это случайность, и нет статистически значимых различий между объемами продаж в разные месяцы.
Вы изучаете данные о продажах различных товаров в вашем магазине. Вы хотите определить, насколько сосредоточены продажи вокруг определенного набора товаров. Какая мера концентрации поможет вам выявить эту информацию?
- Медиана.
- Индекс Херфиндаля.
- Квартили.
Вы изучаете данные о температуре воздуха за последние месяцы и обнаруживаете, что в июне средняя температура была выше, чем в мае. Какое из следующих утверждений является наиболее правильным на основе статистического наблюдения?
- Июнь был более жарким месяцем, чем май, и это статистически подтверждается.
- Это лишь случайность, и нет статистически значимых различий между средними температурами мая и июня.
- Средняя температура не имеет значения для анализа климатических изменений.
Вы изучаете связь между уровнем образования и заработной платой. Какое из следующих утверждений наиболее точно описывает результаты корреляционного анализа?
- Нет корреляции между уровнем образования и заработной платой.
- Есть положительная корреляция между уровнем образования и заработной платой.
- Есть отрицательная корреляция между уровнем образования и заработной платой.
Вы изучаете социальные и экономические факторы, влияющие на уровень счастья людей. У вас есть данные о доходах, образовании, семейном положении и уровне удовлетворенности жизнью для различных групп людей. Какой метод анализа данных подходит для определения наиболее важных факторов, влияющих на уровень счастья?
- Дискриминантный анализ.
- Корреляционный анализ.
- Факторный анализ.
Вы исследуете доходы населения в разных районах вашего города. Вам нужно определить уровень неравенства в доходах между районами. Какой статистический показатель лучше всего отражает это?
- Коэффициент вариации.
- Квартили.
- Дисперсия.
Вы исследуете изменения в стоимости акций компании на рынке за последние годы. Вам нужно построить прогноз будущих изменений стоимости на основе предыдущих данных. Какой статистический метод наиболее подходит для этой задачи?
- Линейная регрессия.
- ANOVA (дисперсионный анализ).
- Дисперсионный анализ.
Вы исследуете изменения уровня удовлетворенности клиентов до и после внедрения новой системы обслуживания. Какой статистический критерий наиболее подходит для сравнения уровня удовлетворенности клиентов до и после изменений?
- Коэффициент корреляции Пирсона.
- Т-критерий Стьюдента для зависимых выборок.
- Критерий знаков.
Вы исследуете предпочтения потребителей в отношении брендов мобильных телефонов. Выборка составляет 200 человек, опрошенных на улицах города. Какое утверждение наиболее точно описывает выборочное наблюдение в этом случае?
- Вы опросили только молодежь, что делает выборку неполной и не репрезентативной для всего населения.
- Вы случайным образом выбрали опрошенных, чтобы обеспечить репрезентативность выборки.
- Вы опросили только людей, которые уже владеют мобильными телефонами, что делает выборку неполной.
Вы исследуете предпочтения потребителей по цвету автомобилей в городе. Для этого вы опрашиваете 100 владельцев автомобилей на одной из улиц. Какое утверждение наиболее соответствует выборочному наблюдению в этом случае?
- Вы опросили только владельцев автомобилей определенной марки, что делает выборку неполной.
- Опрос проводился в разное время суток, чтобы обеспечить репрезентативность выборки.
- Вы случайным образом выбрали владельцев автомобилей из разных районов города, чтобы обеспечить разнообразие в выборке.
Вы исследуете средний уровень дохода в вашем районе. После анализа данных вы получили средний доход 40,000 долларов, с известным стандартным отклонением 5,000 долларов. Какой интервал оценки на уровне доверия 99% содержит средний доход в районе?
- (39,250, 40,750).
- (39,500, 40,500).
- (39,800, 40,200).
Вы исследуете эффективность нового лекарства для лечения определенного заболевания. Ваша нулевая гипотеза утверждает, что новое лекарство не имеет эффекта по сравнению с плацебо. Какое утверждение наиболее точно описывает альтернативную гипотезу в этом случае?
- Новое лекарство имеет эффект, который не отличается от плацебо.
- Новое лекарство имеет эффект, который отличается от плацебо.
- Новое лекарство не имеет эффекта.
Файлы условия, демо
Характеристики ответов (шпаргалок) к экзамену
Учебное заведение
Семестр
Программы
Просмотров
56
Качество
Идеальное компьютерное
Размер
379,76 Kb
Список файлов
Статистические методы ОД. Тесты 1-13, итоговый, компетентностный.pdf


Каждая купленная работа – это шаг к вашей успешной сдаче и мой стимул делать ещё лучше. Вместе мы создаём круговорот добра в учебе 🥰