Для студентов МГТУ им. Н.Э.Баумана по предмету Спецглавы строительной механики СМРубежный контроль №1Рубежный контроль №1
5,0051
2024-02-182024-02-18СтудИзба
РК 1 по спецглавам от Баслыка
Задача 1: Рубежный контроль №1
Описание
Рубежный контроль по спецглавам строительной механики у Баслыка, приближает вас к зачету по сложному и непонятному предмету
В файле представлено решение этой задачи и аналогичной задачи при условии постоянного объема (задачи 1.1 и 1.2, соответственно)
Эти задачи (2 и 3) у многих вариантов повторяются, так что достаточно сравнить условие.
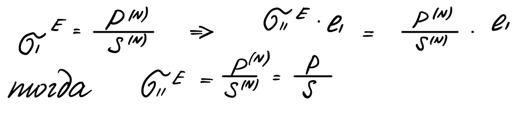
Решение представлено в следующем виде:
При приближении пдф все формулы отображаются четко и различимо:

В файле представлено решение этой задачи и аналогичной задачи при условии постоянного объема (задачи 1.1 и 1.2, соответственно)

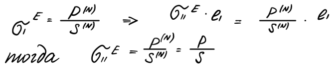
Эти задачи (2 и 3) у многих вариантов повторяются, так что достаточно сравнить условие.

Решение представлено в следующем виде:


Характеристики решённой задачи
Учебное заведение
Номер задания
Просмотров
30
Качество
Скан рукописных листов
Размер
3,85 Mb
Список файлов
Рубежныи контроль 1.pdf