Для студентов МГТУ им. Н.Э.Баумана по предмету Спецглавы строительной механики СМРубежный контроль №2Рубежный контроль №2
5,0052
2024-02-182024-02-18СтудИзба
РК 2 по спецглавам от Баслыка (с MathCad файлом)
Задача 2: Рубежный контроль №2
Описание
Очень сложное задание (для получения зачета)
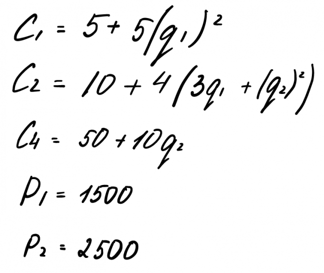
Само решение имеет вид:

Помимо описания решения приложен маткад файл с проводившимся расчетом, можно посчитать другой вариант самостоятельно (но программа сложная и часто вылетает)
При приближении пдф файла все разборчиво.

Характеристики решённой задачи
Учебное заведение
Номер задания
Просмотров
35
Качество
Скан рукописных листов
Размер
2,74 Mb
Список файлов
РК 2.xmcd
Рубежныи контроль 2.pdf