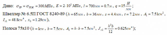
Для студентов по предмету Сопротивление материаловТребуется: 1. Построить эпюры поперечных сил Qy и изгибающих моментов Mx.Требуется: 1. Построить эпюры поперечных сил Qy и изгибающих моментов Mx.
5,005290
2024-03-292024-03-29СтудИзба
Задача 3.1: Требуется: 1. Построить эпюры поперечных сил Qy и изгибающих моментов Mx.
Описание
Требуется:
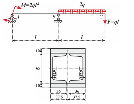
![]()
- 1. Построить эпюры поперечных сил Qy и изгибающих моментов Mx.
- 2. Определить коэффициент запаса конструкции nт.
- 3. Определить угловое перемещение θB сечения B.
- 4. Нарисовать примерный вид изогнутой оси балки.


Характеристики решённой задачи
Предмет
Номер задания
Программы
Просмотров
16
Качество
Идеальное компьютерное
Размер
1,21 Mb
Список файлов
3.1.doc