Для студентов ИДДО НИУ «МЭИ» по предмету Системы пневмоавтоматикиКурс Системы пневмоавтоматики - КМ-1. Условные обозначения и назначения пневматических элементов и систем. ТестированиеКурс Системы пневмоавтоматики - КМ-1. Условные обозначения и назначения пневматических элементов и систем. Тестирование
4,99521845
2025-02-252025-02-25СтудИзба
💼 База ответов к тесту КМ-1: Условные обозначения и назначения пневматических элементов и систем. Тестирование (Курс Системы пневмоавтоматики) 📊
Ответы к заданиям КМ-1: Курс Системы пневмоавтоматики - КМ-1. Условные обозначения и назначения пневматических элементов и систем. Тестирование
Описание
Курс Системы пневмоавтоматики - КМ-1. Условные обозначения и назначения пневматических элементов и систем. Тестирование
🔴 Другие тесты и КМ по этому предмету 💯
➡️ Помощь со сдачей ⬅️
➡️ Помощь с ЛЮБЫМ предметом в МЭИ (ИДДО) ⬅️
➡️ Помощь с ЛЮБЫМ тестом в МЭИ (ИДДО) ⬅️
▶️ Помощь с ЛЮБОЙ практикой в МЭИ (ИДДО) ◀️
▶️ 📕 Помощь с ЛЮБОЙ ВКР в МЭИ (ИДДО) 📓 ◀️
🗝️ ▶️ Помощь с сессией под ключ 🗝️ ◀️ 🗝️
🔝 Скорее жми на нужную тебе ссылку 😉
🔴 Другие тесты и КМ по этому предмету 💯
➡️ Помощь со сдачей ⬅️

➡️ Помощь с ЛЮБЫМ предметом в МЭИ (ИДДО) ⬅️
➡️ Помощь с ЛЮБЫМ тестом в МЭИ (ИДДО) ⬅️
▶️ Помощь с ЛЮБОЙ практикой в МЭИ (ИДДО) ◀️
▶️ 📕 Помощь с ЛЮБОЙ ВКР в МЭИ (ИДДО) 📓 ◀️
🗝️ ▶️ Помощь с сессией под ключ 🗝️ ◀️ 🗝️
🔝 Скорее жми на нужную тебе ссылку 😉
Список вопросов
Операция повторения
Команда подается на распределитель, который формирует команду на выдвижение штока. Как называется описанная операция?
Команда подается на распределитель, который формирует команду на выдвижение штока. Как называется описанная операция?
По сравнению с электронными пневматические системы управления имеют
Какое утверждение верное?
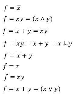
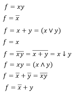
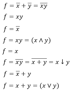
Как выглядит аналитическая запись операции повторения?

Имеет ли подвижные элементы струйная техника?
Какое утверждение верно?
Укажите область информационной подсистемы?
![]()

Какие из приведенных достоинств можно отнести к струйной технике?
Как выглядит аналитическая запись операции «Штрих Шеффера»?
![]()

Струйные элементы обладают наиболее низким быстродействием по сравнению с другими элементами пневмоавтоматики?
Какой частоты вращения может развивать вал пневмомотора ?
Какую скорость перемещения может достигать шток пневмоцилиндра ?
Какие подвижные элементы имеет струйная техника?
При каких обстоятельства наиболее эффективно применять пневматические системы?
Струйная техника работает на высоком давлении?
Шток должен выдвигаться (f), когда нажата кнопка х и при этом нет запрета от оператора у. Как называется описанная операция?
Какие пневматические элементы относятся к устройствам высокого давления?
Шток может выдвигаться как по сигналу х, так и по сигналу у. Как называется описанная операция?
Как выглядит аналитическая запись операции «Стрелка Пирса»?

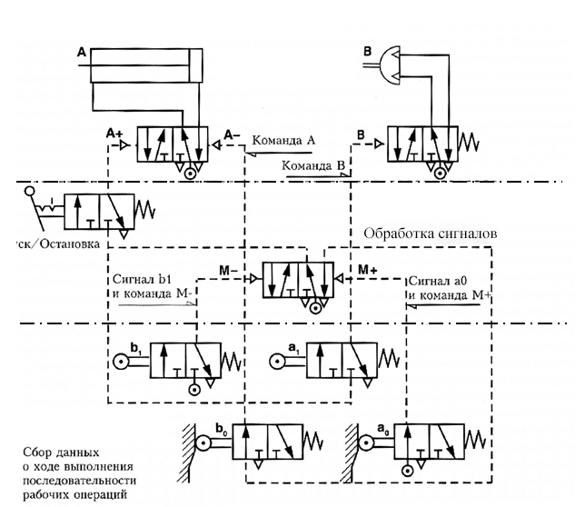
Что показывают линии со стрелками в условном изображении пневмораспределителя?
Характеристики ответов (шпаргалок) к заданиям
Тип
Коллекция: Ответы (шпаргалки) к заданиям
Предмет
Учебное заведение
Номер задания
Теги
Просмотров
3
Качество
Идеальное компьютерное
Количество вопросов
Преподаватели

Гарантия сдачи без лишних хлопот! ✅🎓 Ответы на тесты по любым дисциплинам, базы вопросов, работы и услуги для Синергии, МЭИ и других вузов – всё уже готово! 🚀 🎯📚 Гарантия качества – или возврат денег! 💰✅