Для студентов НГТУ по предмету Радиотехнические цепи и сигналы (РТЦиС)Вариант 6.6 - Задание 1.1Вариант 6.6 - Задание 1.1
2021-09-152021-09-15СтудИзба
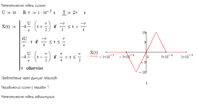
Курсовая работа: Вариант 6.6 - Задание 1.1 вариант 6.6
Описание
Характеристики курсовой работы
Учебное заведение
Семестр
Вариант
Просмотров
10
Качество
Идеальное компьютерное
Размер
44,34 Kb
Список файлов
Задание 1.1 - Вариант 6.6.xmcd

Вам все понравилось? Получите кэшбэк - 40 рублей на Ваш счёт при покупке. Поставьте оценку и напишите положительный комментарий к купленному файлу. После Вы получите деньги на ваш счет.