Курсовая работа: Расчет и анализ системы радиоавтоматики
Описание
Вариант 2.2.Б
СОДЕРЖАНИЕ
Введение | 3 |
1 Задание на курсовую работу | 4 |
2 Преобразование исходной структурной схемы. | 5 |
3 Вычисление передаточной функции | 7 |
4. Расчеты на устойчивость | 8 |
4.1 Критерий Гурвица | 8 |
4.2. Критерий Михайлова | 8 |
4.3. Критерий Найквиста | 9 |
5. Построение графиков АЧХ, ФЧХ и ЛАХ для замкнутой системы | 12 |
Заключение | 15 |
Список литературы | 16 |
Введение
Темой данной курсовой работы является расчет и анализ системы радиоавтоматики.
Целью курсовой работы является овладение методикой анализа, выбора и расчета основных параметров типовой радиотехнической следящей системы, закрепленных навыков построения графиков и выведения формул АЧХ, ФЧХ и других, а так же демонстрация знаний, полученных при изучении курса «Радиоавтоматика».
Радиоавтоматика (РА) – это дисциплина, изучающая системы радиоавтоматики, которые охватывают широкий автоматических систем в радиолокации, радионавигации, радиосвязи, радиоуправления.
Отличительная особенность таких систем является использование радиосигналов для управления, а сами объекты управления – радиотехнические устройства, информация управления содержится в том или ином параметре сигнала: амплитуде частоте, фазе, времени запаздывания и т.д.
Данная работа будет актуальна в настоящее время, так как в любой системе радиоавтоматики нужно проводить расчет параметров, прежде чем её пустить на производство, поэтому навыки, полученные в ходе данной работы, нам могут понадобиться на предприятиях.
1. Задание на курсовую работу
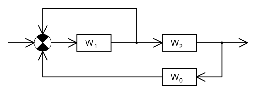
Исходные данные.

Рисунок 1 – Структурная схема
Таблица 1 – Параметры системы
Параметр | Значение | Параметр | Значение | Параметр | Значение |
| | | | 100 | | 1 |
| | | | 10 | | 0,1 |
| | | | 1 |
ИжГТУ
all_at_700















