Для студентов по предмету ПрограммированиеРекурсивные функцииРекурсивные функции
5,0053308
2025-02-202025-02-20СтудИзба
Задача: Рекурсивные функции
Описание
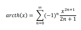
Вычислить функцию Arctan(x) с заданной точностью для |x|<1. Для вычисления функции использовать формулу представления функции в виде ряда:
Постановка задачи
Схема алгоритма
Пояснения к реализации программы
Результаты выполнения программы

Постановка задачи
Схема алгоритма
Пояснения к реализации программы
Результаты выполнения программы
Характеристики решённой задачи
Предмет
Программы
Просмотров
3
Качество
Идеальное компьютерное
Размер
900,06 Kb
Список файлов
otchet-po-praktike-6-9.pdf
otchet-po-praktike-60.pdf

Если нужен другой вариант работы или отдельная задача из любой работы, пишите в комментарии