Для студентов по предмету ПрограммированиеСоставить блок-схему алгоритма и программу для вычисления и вывода на экран таблицы значений функцииСоставить блок-схему алгоритма и программу для вычисления и вывода на экран таблицы значений функции
5,0053191
2025-02-122025-02-12СтудИзба
Лабораторная работа: Составить блок-схему алгоритма и программу для вычисления и вывода на экран таблицы значений функции
Описание
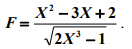
Составить блок-схему алгоритма и программу для вычисления и вывода на экран таблицы значений функции
Вывод выполнить в два столбика: первый столбик - значения аргумента, второй - значения функции. Результаты работы программы должны быть представлены в виде таблицы:

Характеристики лабораторной работы
Предмет
Программы
Просмотров
1
Качество
Идеальное компьютерное
Размер
436,3 Kb
Список файлов
пояснительная записка (условия, листинг, блок-схемы)-6-7.pdf

Если нужен другой вариант работы или отдельная задача из любой работы, пишите в комментарии