Для студентов по предмету ПрограммированиеРяды ТейлораРяды Тейлора
5,0053285
2023-12-152023-12-15СтудИзба
Лабораторная работа 3.1: Ряды Тейлора
Описание
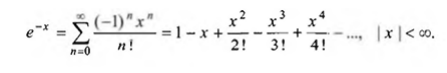
Вычислить и вывести в виде таблицы значения функции, заданной с помощью ряда Тейлора, на интервале от хнач до хкон с шагом dx с точностью Е (исходные данные ввести с клавиатуры). Таблицу снабдить заголовком и шапкой. Каждая строка таблицы должна содержать значение аргумента, значение функции и количество просуммированных членов ряда
![]()

Файлы условия, демо
Характеристики лабораторной работы
Предмет
Номер задания
Просмотров
1
Размер
603,22 Kb
Список файлов
Primer_14146485-11-13.pdf

Если нужен другой вариант работы или отдельная задача из любой работы, пишите в комментарии