Для студентов по предмету ПрограммированиеВыражения и условный оператор IFВыражения и условный оператор IF
5,0053191
2025-02-122025-02-12СтудИзба
Лабораторная работа: Выражения и условный оператор IF
Описание
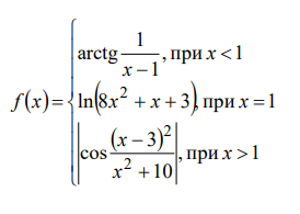
Условие задачи: Вычислить значение функции f в точке x. Значение x должно вводиться с клавиатуры. Вывести полученный результат на экран. Ответить на вопросы.
Вопросы: 1) В каком порядке происходит вычисление значений выражений? 2) Запишите порядок вычисления значений во всех выражениях, встречающихся в Вашей программе.

Характеристики лабораторной работы
Предмет
Программы
Просмотров
1
Качество
Идеальное компьютерное
Размер
252,88 Kb
Список файлов
decision_7583-1-3.pdf

Если нужен другой вариант работы или отдельная задача из любой работы, пишите в комментарии